4


3

3
x2 – |x + 9| + x > 0
For x = 4 the expression becomes:
(4)2 – |4 + 9| + 4 = 16 – 13 + 4 = 8 > 0
So option (4) is discarded
For x = –10; (–10)2 – | –10 + 9| + (–10)
100 – 1 > 0
∴ Option (1) is discarded.
Now x = –4; (–4)2 – |– 4 + 9| + (–5)
16 – 5 – 5 > 0
∴ Option (2) is discarded.
Here answer is (-∞, -3) ∪ (3, ∞).
Hence, correct answer is option (3).
3

340
Let Chandan’s efficiency = 1 unit/day.
Then Bipin’s efficiency = 2 units/day (twice
Chandan)
Ankita’s efficiency = 4 units/day (twice Bipin)
So, combined efficiency of all three = 1 + 2 + 4
= 7 units/day
Work done in the first 20 days when all three are
working = 20 × 7 = 140 units
After Bipin leaves, remaining workers are Ankita
(4 units/day) and Chandan (1 unit/day)
Work done in next 40 days = 40 × 5 = 200 units
Total work = 140 + 200 = 340 units
Chandan’s efficiency is 1 unit per day.
Time taken by Chandan alone = 340/1 = 340 days.
3

3
A number is of the form 3p + 1 if it leaves remainder
1 when divided by 3.
Since 35 is divisible by 3, any divisor containing
35 will be divisible by 3. Therefore, we consider only
the case when the power of 3 is zero.
Even powers of 2: 20, 22, 24, 26 give remainder 1.
Even powers of 5: 50, 52 also give remainder 1.
So when both powers are even, the remainder is 1
So number of cases = 4 × 2 = 8
Odd power of 2: 21, 23, 25
Odd power of 5: 51, 53
So number of cases = 3 × 2 = 6
Total valid combinations of powers of 2 and 5 are
8 + 6 = 14
Now, powers of 7: 70, 71, 72 all are of the form
(3p + 1).
So number of cases = 3
Hence, the number of divisors of the required form
is 14 × 3 = 42.
49
Total sales in first 7 days = 7 × 60 = 420
Total sales in first 8 days = 8 × 63 = 504
So, sales on the 8th day = 504 – 420 = 84
Sales on 9th day = 11 less than 8th day
⇒ 9th day sales = 84 – 11 = 73
From 2nd day to 9th day = 8 days ; Average = 66
⇒ Total sales from day 2 to day 9 = 8 × 66 = 528
Sales from day 2 to day 9 = (Total of first 8 days +
9th day) – 1st day
⇒ 528 = (504 + 73) – 1st day
⇒ 1st day = 577 – 528 = 49.
12
Given, 3ac = 8(a + b), where a, b, c are distinct
natural numbers, and we must minimize 3a + 2b +
c.
Rearranging the given equation we get, 3ac = 8a +
8b ⇒ b = a(3c – 8) /8
For b to be a natural number, a(3c – 8) must be
divisible by 8.
For a = 2 and c = 4 we get b = 1 and these are the
smallest possible distinct values of a, b and c.
Also all are natural and distinct: (a, b, c) = (2, 1, 4)
Hence, 3a + 2b + c = 6 + 2 + 4 = 12.
80

∠AOB = 50°
∠AOQ = AOS = a
∠BOR = ∠BOS = b
∠QOR = ∠QOA + ∠AOS + ∠SOB + ∠BOR
= 2a + 2b
= 2 (a + b)
Now as given:
∠AOB = 50° = ∠AOS + ∠SOB = 2(a + b)
∴ QOR = 100°
In quadrilateral PQOR, Q and R are right angles.
Hence, ∠APB = 180° – 100° = 80°.
3
The diagram of the hexagon can be drawn as
follows:

In a regular hexagon area of each of the triangles
AOB, BOC, COD, DOE, EOF and FOA is equal to
one-sixth of the area of the hexagon.
Given that P and Q are midpoints of AB and CD,
using midpoint theorem, we can say that the area
enclosed by the trapezium will be equal to = 1/4
area of AOB + 3/4 area of BOC + 1/4 area of COD
= 5/4 area of AOB.
Hence, required ratio = 5/4 : 6 = 5 : 24.
3
Let P, R, M, and S represent the amount of Pinu,
Meena, Rinu and Seema, respectively.
Let P + R + M + S = 100

2
Let the cost of 1 kg coffee be Rs.C and that of 1 kg
cocoa be Rs.D.
From mixture 1: 0.16C + 0.84D = 240 …(i)
From mixture 2: 0.36C + 0.64D = 320 …(ii)
Subtract (i) from (ii) we get, 0.20C – 0.20D = 80
⇒ C – D = 400
From (1): 0.16C + 0.84(C – 400) = 240
⇒ C = Rs.576 and D = Rs.176
Let the fraction of coffee be x.
⇒ 576x + 176(1 – x) = 376 ⇒ x = 0.5
So, coffee content = 50%
Quantity of coffee in 10 kg = 10 × 0.5 = 5 kg.
2
Let the annual rate of interest = r%
Since interest is compounded annually, the total
value of the installments equals the loan amount.
530/(1 + r) + 594/(1 + r)2 = 1000
⇒ 530(1 + r) + 594 = 1000(1 + r2 + 2r)
⇒ 530r + 1124 = 1000 + 1000r2 + 2000r
⇒ 1000r2 + 1470r – 124 = 0
⇒ r = 0.08 or –1.55
We discard the negative value and take r = 0.08
Hence, rate = 8%
17
Given (m + 2n)(2m + n) = 27 where m and n are
integers.
Let (m + 2n) = a and (2m + n) = b
So n = (2a – b)/3 and m = (2b – a)/3
Also we know that, ab = 27
Possible values of (a, b) are {(1, 27), (3, 9), (9, 3),
(27, 1), (–1, –27), (–3, –9), (–9, –3), (–27, –1)}
The only pairs that give integer values for m and n
are (3, 9), (9, 3), (–3, –9) and (–9, –3).
The values of (2m – 3n) that are obtained from the
respective pairs of (a, b) are 13, –17, –13 and 17.
Hence, the maximum possible value of (2m – 3n)
is 17.
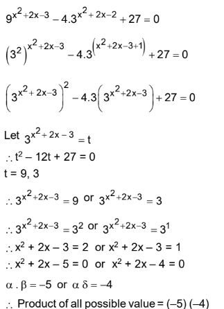
8

4

2
a + b + c + d = 46
To find the minimum possible value of
(a – b)2 + (a – c)2 + (a – d)2
If all are equal, minimum value will be 0. But 46 is
not divisible by 4.
So take a = 11, b = 11, c = 12, d = 12
Hence, the minimum possible value = 0 + 1 + 1 = 2.
25
N = (625)65 × (128)36
= (54)65 × (27)36
= 5260 × 2252
= (10)252 × 58
= (390625) × 10252
Hence, the sum of digits = 3 + 9 + 0 + 6 + 2 + 5 =
25.
4
Given Cost Price = Rs.1,650 and Profit = 20% of
1650 = Rs.330
Selling Price = 1650 + 330 = Rs.1,980
Let the original discount be d%.
1980 = MP(1 – d/100) …(i)
According to the question, if the discount is doubled
(i.e. 2d%), profit becomes Rs.110.
New Selling Price = 1650 + 110 = Rs.1,760
1760 = MP(1 – 2d/100) …(ii)
From equation (i) and (ii) we get,
1760/1980 = (100 – 2d)/(100 – d)
⇒ 800 – 8d = 900 – 18d
⇒ 10d = 100 ⇒ d = 10%
From equation (i), we get, MP = 1980/0.9
= Rs. 2,200
Let new discount = x%
Now the profit percentage has to be equal to the
discount percentage.
Selling price at x% discount = 2200(1 – x/100)
Profit percentage = (SP – 1650)/1650 × 100 = (2200
– 22x – 1650)/1650 × 100
⇒ (550 – 22x)/1650 × 100 = x
⇒ 165x = 5500 – 220x ⇒ 385x = 5500
⇒ x = 5500/385 = 14.286%
Hence, the correct answer is 14%.
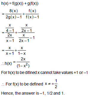
1

2
Given: Expenditure ratio of Lakshmi : Meenakshi
= 2 : 3.
Let Lakshmi’s expenditure = 2x and Meenakshi’s
expenditure = 3x
Given: Income of Lakshmi : Expenditure of
Meenakshi = 6 : 7
⇒ Income of Lakshmi = 6/7 × (3x) = 18x/7
Now, Savings = Income – Expenditure
Lakshmi’s savings = 18x/7 – 2x = 4x/7
Let Meenakshi’s income = y ; Meenakshi’s savings
= y – 3x
Given: Savings of Lakshmi : Meenakshi = 4 : 9
⇒ (4x/7) : (y – 3x) = 4 : 9
⇒ y = 30x/7
Lakshmi’s income =18x/7 ; Meenakshi’s income
= 30x/7
Hence, the ratio of incomes = 18x/7 : 30x/7 = 3 : 5.