Back Home
Persistent Timer

Algebraic Equations

Q.No: 1
Test Name : CAT Paper 2004

If f(x) = x3 – 4x + p, and f(0) and f(1) are of opposite sings, then which of the following is necessarily true

A
–1 < p < 2
B
0 < p < 3
C
–2 < p < 1
D
–3 < p < 0
Solution:
Q.No: 2
Test Name : CAT Paper 2004




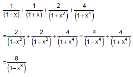
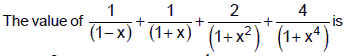
Let
What is the value of y?

A
B
C
D
Solution:
Q.No: 3
Test Name : CAT Paper 2004

The total number of integers pairs (x, y) satisfying the equation x + y = xy is

A
0
B
1
C
2
D
None of the above
Solution:
Q.No: 4
Test Name : CAT Paper 2005



For which value of k does the following pair of equations yield a unique solution of x such that the solution is positive?



x2 – y2 = 0
(x – k)2 + y2 = 1

A
2
B
0
C
D
Solution:
Q.No: 5
Test Name : CAT Paper 2005

If a1 = 1 and an+1 – 3an + 2 = 4n for every positive integer n, then a100 equals

A
399 -– 200
B
399 + 200
C
3100 – 200
D
3100 + 200
Solution:
Q.No: 6
Test Name : CAT Paper 2005

If and y > 1, then the value of the expression can never be

A
–1.3
B
–0.5
C
0
D
1
Solution:
Q.No: 7
Test Name : CAT Paper 2005

Let . Then x equals

A
3
B
C
.
D
.
Solution:
Q.No: 8
Test Name : CAT Paper 2007

Ten years ago, the ages of the members of a joint family of eight people added up to 231 years. Three years later, one member died at the age of 60 years and a child was born during the same year. After another three years, one more member died, again at 60, and a child was born during the same year. The current average age of this eight-member joint family is nearest to

A
23 years
B
22 years
C
21 years
D
25 years
E
24 years
Solution:
Q.No: 9
Test Name : CAT Paper 2007

Suppose you have a currency, named Miso, in three denominations: 1 Miso, 10 Misos and 50 Misos. In how many ways can you pay a bill of 107 Misos?

A
17
B
16
C
18
D
15
E
19
Solution:
Q.No: 10
Test Name : CAT Paper 2007

A confused bank teller transposed the rupees and paise when he cashed a cheque for Shailaja, giving her rupees instead of paise and paise instead of rupees. After buying a toffee for 50 paise, Shailaja noticed that she was left with exactly three times as much as the amount on the cheque. Which of the following is a valid statement about the cheque amount?

A
Over Rupees 13 but less than Rupees 14
B
Over Rupees 7 but less than Rupees 8
C
Over Rupees 22 but less than Rupees 23
D
Over Rupees 18 but less than Rupees 19
E
Over Rupees 4 but less than Rupees 5
Solution:
Q.No: 11
Test Name : CAT Paper 2007

Directions for Questions 7 to 10: Each question is followed by two statements A and B. Indicate your response based on the following directives.
Mark (1) if the questions can be answered using A alone but not using B alone.
Mark (2) if the question can be answered using B alone but not using A alone.
Mark (3) if the question can be answered using A and B together, but not using either A or B alone.
Mark (4) if the question cannot be answered even using A and B together.


Consider integers x, y, z. What is the minimum possible value of x2+y2+z2 ?
A: x + y + z = 89.
B: Among x, y, z two are equal.

A
(1)
B
(2)
C
(3)
D
(4)
Solution:
Q.No: 12
Test Name : CAT Paper 2007

In a tournament, there are n teams T1, T2,....,Tn , with n > 5. Each team consists of 'k' players, k > 3. The following pairs of teams have one player in common:
T1 & T2, T2 & T3,....,Tn-1 & Tn, and Tn & T1
No other pair of teams has any player in common. How many players are participating in the tournament, considering all the 'n' teams together?

A
n(k -1)
B
k(n -1)
C
n(k -2)
D
k(n - 2)
E
(n - 1)(k - 1)
Solution:
Q.No: 13
Test Name : CAT Paper 2007

The price of Darjeeling tea (in rupees per kilogram) is 100 + 0.10n, on the nth day of 2007 (n = 1, 2, ..., 100), and then remains constant. On the other hand, the price of Ooty tea (in rupees per kilogram) is 89 + 0.15n, on the nth day of 2007 (n = 1, 2, ..., 365). On which date in 2007 will the prices of these two varieties of tea be equal?

A
May 21
B
April 11
C
May 20
D
April 10
E
June 30
Solution:
Q.No: 14
Test Name : CAT Paper 2007

A quadratic function ƒ(x) attains a maximum of 3 at x = 1. The value of the function at x = 0 is 1. What is the value of ƒ(x) at x = 10?

A
-119
B
-159
C
-110
D
-180
E
-105
Solution:
Q.No: 15
Test Name : CAT Paper 2007

Directions for Questions 24 and 25: Answer the following questions based on the information given below:


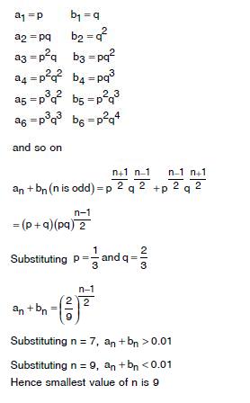
Let a1 = p and b1 = q, where p and q are positive quantities. Define


an =pbn-1, bn=qbn-1, for even n > 1,
and an=pan-1, bn=qan-1 for odd n > 1.




Which of the following best describes an+bn for even ‘n’?

A
B
C
D
E
Solution:
Q.No: 16
Test Name : CAT Paper 2007

Directions for Questions 24 and 25: Answer the following questions based on the information given below:


Let a1 = p and b1 = q, where p and q are positive quantities. Define


an =pbn-1, bn=qbn-1, for even n > 1,
and an=pan-1, bn=qan-1 for odd n > 1.




If p = 1/3 and q = 2/3, then what is the smallest odd ‘n’ such that


an+bn<0.01?



A
7
B
13
C
11
D
9
E
15
Solution:
Q.No: 17
Test Name : CAT Paper 2008

If the roots of the equation x^3 – ax^2 + bx – c = 0 are three consecutive integers, then what is the smallest possible value of b?

A
-1/√3
B
-1
C
0
D
1
E
1/√3
Solution:
Q.No: 18
Test Name : CAT Paper 2008

A shop stores x kg of rice. The first customer buys half this amount plus half a kg of rice. The second customer buys half the remaining amount plus half a kg of rice. Then the third customer also buys half the remaining amount plus half a kg of rice. Thereafter, no rice is left in the shop. Which of the following best describes the value of x?

A
2 ≤ x ≤ 6
B
5 ≤ x ≤ 8
C
9 ≤ x ≤ 12
D
11 ≤ x ≤ 14
E
13 ≤ x ≤ 18
Solution:
Q.No: 19
Test Name : CAT Paper 1991
Q 61 to 100 : Choose the best answer choice from those provided

What is the value of k for which the following system of equations has no solution:
2x – 8y = 3 and kx +4y = 10

A
−2
B
1
C
−1
D
2
E
NA
Solution:
Q.No: 20
Test Name : CAT Paper 1991
Q 61 to 100 : Choose the best answer choice from those provided

Iqbal dealt some cards to Mushtaq and himself from a full pack of playing cards and laid the rest aside. Iqbal then said to Mushtaq. “If you give me a certain number of your cards, I will have four times as many cards as you will have. If I give you the same number of cards, I will have thrice as many cards as you will have “. Of the given choices, which could represent the number of cards with Iqbal?

A
9
B
31
C
12
D
35
E
NA
Solution:
Q.No: 21
Test Name : CAT Paper 1991
Q 61 to 100 : Choose the best answer choice from those provided

Three times the first of three consecutive odd positive integers is 3 more than twice the third. What is the third integer?

A
15
B
9
C
11
D
5
E
NA
Solution:
Q.No: 22
Test Name : CAT Paper 1991
Q 61 to 100 : Choose the best answer choice from those provided

The sum of two integers is 10 and the sum of their reciprocals is 5/12. Then the larger of these integers is

A
2
B
4
C
6
D
8
E
NA
Solution:
Q.No: 23
Test Name : CAT Paper 1991
Q 61 to 100 : Choose the best answer choice from those provided

Gopal went to a fruit market with certain amount of money. With this money he can buy either 50 oranges or 40 mangoes. He retains 10% of the money for taxi fare. If he buys 20 mangoes, then the number of oranges he can buy is

A
25
B
20
C
18
D
6
E
NA
Solution:
Let the amount with Gopal be Rs. 400. Therefore, price of an orange is then Rs. 8 and that of a mango is Rs.10. If he keeps 10% of the money for taxi fare, he is left with Rs.360. Now if he buys 20 mangoes, then he spends on mangoes Rs. 200. Now he is left with Rs.160, in which he can buy 20 oranges.
Q.No: 24
Test Name : CAT Paper 1991
Q 61 to 100 : Choose the best answer choice from those provided

In Sivakasi, each boy’s quota of match sticks to fill into boxes is not more than 200 per session. If he reduces the number of sticks per box by 25, he can fill 3 more boxes with the total number of sticks assigned to him. Which of the following is the possible number of sticks assigned to each boy?

A
200
B
150
C
125
D
175
E
NA
Solution:
Q.No: 25
Test Name : CAT Paper 1993
Q58 to 100 : Choose the appropriate answer choice.

Two oranges, three bananas and four apples cost Rs.15. Three oranges, two bananas and one apple cost Rs 10. I bought 3 oranges, 3 bananas and 3 apples. How much did I pay?

A
Rs.10
B
Rs. 8
C
Rs.15
D
cannot be determined
Solution:
The two equations are : 2o + 3b + 4a = 15 and 3o + 2b + a = 10.
Adding the two equations, we get
5o + 5b + 5a = 25
⇒ o + b + a = 5
⇒ 3o + 3b + 3a = 15.
Q.No: 26
Test Name : CAT Paper 1993
Q58 to 100 : Choose the appropriate answer choice.

From each of the two given numbers, half the smaller number is subtracted. Of the resulting numbers the larger one is three times as large as the smaller. What is the ratio of the two numbers?

A
2 : 1
B
3 : 1
C
3 : 2
D
None
Solution:
Q.No: 27
Test Name : CAT Paper 1993
Q58 to 100 : Choose the appropriate answer choice.

John bought five mangoes and ten oranges together for forty rupees. Subsequently, he returned one mango and got two oranges in exchange. The price of an orange would be

A
Re.1
B
Rs.2
C
Rs.3
D
Rs.4
Solution:
The price of 1 mango is equal to the price of 2 oranges. Hence, 5 mangoes will be equivalent to 10 oranges. So 20 oranges cost Rs.40, therefore one orange will cost Rs.2.
Q.No: 28
Test Name : CAT Paper 1993
Q58 to 100 : Choose the appropriate answer choice.

Let x < 0.50, 0 < y < 1, z > 1. Given a set of numbers, the middle number, when they are arranged in ascending order, is called the median. So the median of the numbers x, y and z would be

A
less than one
B
between 0 and 1
C
greater than 1
D
cannot say
Solution:
Since there are two numbers which are less than 1 (viz. x and y), it is obvious that the median will be less than 1. Hence, (c) cannot be the answer. Since x < 0.5 and 0 < y < 1, the median will not be less than 0. Hence, the answer is (b).
Q.No: 29
Test Name : CAT Paper 1993

Let x, y and z be distinct positive integers satisfying x < y < z and x + y + z = k. What is the smallest value of k that does not determine x, y, z uniquely?

A
9
B
6
C
7
D
8
Solution:
In this case since x, y and z are distinct positive integers, our aim is figure out which of the answer choices cannot be expressed as the sum of 3 integers uniquely. E.g. 6 can only be expressed as (1 + 2 + 3). 7 can only be expressed as (1 + 2 + 4). But 8 can be expressed as either (1, 2, 5) or (1, 3, 4).
Q.No: 30
Test Name : CAT Paper 1993

Amar, Akbar, and Anthony came from the same public school in the Himalayas. Every boy in that school either fishes for trout or plays frisbee. All fishermen like snow while no frisbee player likes rain. Amar dislikes whatever Akbar likes and likes whatever Akbar dislikes. Akbar likes rain and snow. Anthony likes whatever the other two like. Who is a fisherman but not a frisbee player?

A
Amar
B
Akbar
C
Anthony
D
None
Solution:
Since Akbar likes rain, he cannot be a frisbee player (as no frisbee player likes rain). And since every boy in the school does one of the two, Akbar has to be a fisherman.
Q.No: 31
Test Name : CAT Paper 1994
Q51 – 90 : Choose the best alternative.

If one root of x2 + px + 12 = 0 is 4, while the equation x2 − 7x + q = 0 has equal roots, then the value of q is

A
B
C
4
D
Solution:
Q.No: 32
Test Name : CAT Paper 1994
Q51 – 90 : Choose the best alternative.

Q74 – 76 : are based on the following information:
Alphonso, on his death bed, keeps half his property for his wife and divide the rest equally among his three sons Ben, Carl and Dave. Some years later Ben dies leaving half his property to his widow and half to his brothers Carl and Dave together, shared equally. When Carl makes his will he keeps half his property for his widow and the rest he bequeaths to his younger brother Dave. When Dave dies some years later, he keeps half his property for his widow and the remaining for his mother. The mother now has Rs. 1,575,000.

What was the worth of the total property?

A
Rs. 30 lakh
B
Rs. 8 lakh
C
Rs. 18 lakh
D
Rs.24 lakh
Solution:
Q.No: 33
Test Name : CAT Paper 1994
Q51 – 90 : Choose the best alternative.

Q74 – 76 : are based on the following information:
Alphonso, on his death bed, keeps half his property for his wife and divide the rest equally among his three sons Ben, Carl and Dave. Some years later Ben dies leaving half his property to his widow and half to his brothers Carl and Dave together, shared equally. When Carl makes his will he keeps half his property for his widow and the rest he bequeaths to his younger brother Dave. When Dave dies some years later, he keeps half his property for his widow and the remaining for his mother. The mother now has Rs. 1,575,000.

What was Carl's original share?

A
Rs. 4 lakh
B
Rs. 12 lakh
C
Rs. 6 lakh
D
Rs. 5 lakh
Solution:
Q.No: 34
Test Name : CAT Paper 1994
Q51 – 90 : Choose the best alternative.

Q74 – 76 : are based on the following information:
Alphonso, on his death bed, keeps half his property for his wife and divide the rest equally among his three sons Ben, Carl and Dave. Some years later Ben dies leaving half his property to his widow and half to his brothers Carl and Dave together, shared equally. When Carl makes his will he keeps half his property for his widow and the rest he bequeaths to his younger brother Dave. When Dave dies some years later, he keeps half his property for his widow and the remaining for his mother. The mother now has Rs. 1,575,000.

What was the ratio of the property owned by the widows of the three sons, in the end?

A
7 : 9 : 13
B
8 : 10 : 15
C
5 : 7 : 9
D
9 : 12 : 13
Solution:
Q.No: 35
Test Name : CAT Paper 1994
Q51 – 90 : Choose the best alternative.

Q81 – 85 : Data is provided followed by two statements – I and II – both resulting in a value, say I and II. As your answer,
Mark (a) if I > II.
Mark (b) if I < II.
Mark (c) if I = II.
Mark (d) if nothing can be said.

Nineteen year from now Jackson will be 3 times as old as Joseph is now. Johnson is three years younger than Jackson.
I. Johnson’s age now.
II. Joseph’s age now.

A
a
B
b
C
c
D
d
Solution:
Since the ages of none of them is mentioned and we have two equations and three unknowns. Hence, we cannot say anything about the ages of any of them.
Q.No: 36
Test Name : CAT Paper 1994
Q51 – 90 : Choose the best alternative.

Q81 – 85 : Data is provided followed by two statements – I and II – both resulting in a value, say I and II. As your answer,
Mark (a) if I > II.
Mark (b) if I < II.
Mark (c) if I = II.
Mark (d) if nothing can be said.

Last week Martin received $ 10 in commission for selling 100 copies of a magazine. Last week Miguel sold 100 copies of this magazine. He received his salary of $ 5 per week plus a commission of 2 cents for each of the first 25 copies sold, 3 cents for each of next 25 copies sold and 4 cents for each copy thereafter. ($1 = 100 cents).
I. Martin’s commission in the last week.
II. Miguel’s total income for last week.

A
a
B
b
C
c
D
d
Solution:
Miguel’s income = 5 + (0.02 × 25) + (0.03 × 25) + (0.04 × 50) = $8.25.
Martin’s commission = $10.
Hence, obviously I > II.
Q.No: 37
Test Name : CAT Paper 1995

Direction for questions 58 to 87: Answer the questions independently.

A person who has a certain amount with him goes to market. He can buy 50 oranges or 40 mangoes. He retains 10% of the amount for taxi fares and buys 20 mangoes and of the balance he purchases oranges. Number of oranges he can purchase is

A
36
B
40
C
15
D
20
Solution:
Let us assume that the person has Rs.100.
With this, he can buy 50 oranges or 40 mangoes.
In other words, the price of an orange is Rs.2 and that of a mango is Rs.2.50.
If he decides to keep 10% of his money for taxi fare, he would be left with Rs.90.
Now if he buys 20 mangoes, he would spend Rs.50 and will be left with Rs.40.
Thus, he can buy 20 oranges.
Q.No: 38
Test Name : CAT Paper 1995

Direction for questions 58 to 87: Answer the questions independently.

One root of x2 + kx – 8 = 0 is square of the other. Then the value of k is

A
2
B
8
C
–8
D
–2
Solution:
Q.No: 39
Test Name : CAT Paper 1995

Direction for questions 58 to 87: Answer the questions independently.

Two positive integers differ by 4 and sum of their reciprocals is . Then one of the numbers is

A
3
B
1
C
5
D
21
Solution:
Q.No: 40
Test Name : CAT Paper 1996

Which of the following values of x do not satisfy the inequality (x2 – 3x + 2 > 0) at all?

A
1 ≤ x ≤ 2
B
–1 ≥ x ≥ –2
C
0 ≤ x ≤ 2
D
0 ≥ x ≥ –2
Solution:
Q.No: 41
Test Name : CAT Paper 1996

Given the quadratic equation x2 – (A – 3)x – (A – 2) = 0, for what value of A will the sum of the squares of the roots be zero?

A
–2
B
3
C
6
D
None of these
Solution:
Q.No: 42
Test Name : CAT Paper 1996

The figure shows the rectangle ABCD with a semicircle and a circle inscribed inside in it as shown. What is the ratio of the area of the circle to that of the semicircle?

A
B
C
D
None of these
Solution:
Q.No: 43
Test Name : CAT Paper 2001
Directions for questions 1 to 37: Answer the questions independently.

Three friends, returning from a movie, stopped to eat at a restaurant. After dinner, they paid their bill and noticed a bowl of mints at the front counter. Sita took one-third of the mints, but returned four because she had a momentary pang of guilt. Fatima then took one-fourth of what was left but returned three for similar reason. Eswari then took half of the remainder but threw two back into the bowl. The bowl had only 17 mints left when the raid was over. How many mints were originally in the bowl?

A
38
B
31
C
41
D
None of these
Solution:
Q.No: 44
Test Name : CAT Paper 2001
Directions for questions 1 to 37: Answer the questions independently.

Every 10 years the Indian Government counts all the people living in the country. Suppose that the director of the census has reported the following data on two neighbouring villages Chota Hazri and Mota Hazri.
Chota Hazri has 4,522 fewer males than Mota Hazri.
Mota Hazri has 4,020 more females than males.
Chota Hazri has twice as many females as males.
Chota Hazri has 2,910 fewer females than Mota Hazri.

What is the total number of males in Chota Hazri?

A
11,264
B
14,174
C
5,632
D
10,154
Solution:
Q.No: 45
Test Name : CAT Paper 2001
Directions for questions 1 to 37: Answer the questions independently.

At a certain fast food restaurant, Brian can buy 3 burgers, 7 shakes, and one order of fries for Rs. 120 exactly. At the same place it would cost Rs. 164.50 for 4 burgers, 10 shakes, and one order of fries. How much would it cost for an ordinary meal of one burger, one shake, and one order of fries?

A
Rs. 31
B
Rs. 41
C
Rs. 21
D
Cannot be determined
Solution:
Q.No: 46
Test Name : CAT Paper 2001
Directions for questions 38 and 39: Answer the questions based on the following information.
The batting average (BA) of a Test batsman is computed from runs scored and innings played — completed innings and incomplete innings (not out) in the following manner:

Based on the above information which of the following is true?

A
MBA1 ≤ BA ≤ MBA2
B
BA ≤ MBA2 ≤ MBA1
C
MBA2 ≤ BA ≤ MBA1
D
None of these
Solution:
Q.No: 47
Test Name : CAT Paper 2001
Directions for questions 38 and 39: Answer the questions based on the following information.
The batting average (BA) of a Test batsman is computed from runs scored and innings played — completed innings and incomplete innings (not out) in the following manner:

An experienced cricketer with no incomplete innings has BA of 50. The next time he bats, the innings is incomplete and he scores 45 runs. It can be inferred that

A
BA and MBA1 will both increase
B
BA will increase and MBA2 will decrease
C
BA will increase and not enough data is available to assess change in MBA1 and MBA2
D
None of these
Solution:
Q.No: 48
Test Name : CAT Paper 2001
Directions for questions 40 to 48: Answer the questions independently.

In some code, letters a, b, c, d and e represent numbers 2, 4, 5, 6 and 10. We just do not know which letter represents which number. Consider the following relationships:
I. a + c = e, II. b – d = d and III. e + a = b

Which of the following statements is true?

A
b = 4, d = 2
B
a = 4, e = 6
C
b = 6, e = 2
D
a = 4, c = 6
Solution:
Q.No: 49
Test Name : CAT Paper 2001
Directions for questions 40 to 48: Answer the questions independently.

Ujakar and Keshab attempted to solve a quadratic equation. Ujakar made a mistake in writing down the constant term. He ended up with the roots (4, 3). Keshab made a mistake in writing down the coefficient of x. He got the roots as (3, 2). What will be the exact roots of the original quadratic equation?

A
(6, 1)
B
(–3, –4)
C
(4, 3)
D
(–4, –3)
Solution:
Q.No: 50
Test Name : CAT Paper 2001
Directions for questions 40 to 48: Answer the questions independently.

A change-making machine contains one-rupee, two-rupee and five-rupee coins. The total number of coins is 300. The amount is Rs. 960. If the numbers of one-rupee coins and two-rupee coins are interchanged, the value comes down by Rs. 40. The total number of five-rupee coins is

A
100
B
140
C
60
D
150
Solution:
Q.No: 51
Test Name : CAT Paper 2003 (L)
DIRECTIONS for Questions 105 to 110: Answer the questions independently of each other.

The number of non-negative real roots of 2x – x – 1 = 0 equals

A
0
B
1
C
2
D
3
Solution:
Q.No: 52
Test Name : CAT Paper 2003 (L)
DIRECTIONS for Questions 105 to 110: Answer the questions independently of each other.

When the curves y = log10x and y = x–1 are drawn in the x-y plane, how many times do they intersect for values x ≥ 1 ?

A
Never
B
Once
C
Twice
D
More than twice
Solution:
Q.No: 53
Test Name : CAT Paper 2003 (L)
DIRECTIONS for Questions 105 to 110: Answer the questions independently of each other.

Which one of the following conditions must p, q and r satisfy so that the following system of linear simultaneous equations has at least one solution, such that p + q + r ≠ 0?
x+ 2y – 3z = p
2x + 6y – 11z = q
x – 2y + 7z = r

A
5p –2q – r = 0
B
5p + 2q + r = 0
C
5p + 2q – r = 0
D
5p – 2q + r = 0
Solution:
It is given that p + q + r ≠ 0 , if we consider the first
option, and multiply the first equation by 5, second by
–2 and third by –1, we see that the coefficients of x,
y and z all add up-to zero.
Thus, 5p – 2q – r = 0
No other option satisfies this.
Q.No: 54
Test Name : CAT Paper 2003 (L)
DIRECTIONS for Questions 126 to 150: Answer the questions independently of each other.

Let p and q be the roots of the quadratic equation x2 − (α − 2)x − α −1 = 0 . What is the minimum possible value of p2 + q2?

A
0
B
3
C
4
D
5
Solution:
Q.No: 55
Test Name : CAT Paper 2003 (L)
DIRECTIONS for Questions 126 to 150: Answer the questions independently of each other.

Let a, b, c, d be four integers such that a+b+c+d = 4m+1 where m is a positive integer. Given m, which one of the following is necessarily true?

A
The minimum possible value of a2 + b2 + c2 + d2 is 4m2–2m+1
B
The minimum possible value of a2 + b2 + c2 + d2 is 4m2+2m+1
C
The minimum possible value of a2 + b2 + c2 + d2 is 4m2–2m+1
D
The minimum possible value of a2 + b2 + c2 + d2 is 4m2+2m+1
Solution:
Q.No: 56
Test Name : CAT Paper 2003 (L)
DIRECTIONS for Questions 126 to 150: Answer the questions independently of each other.

Given that −1≤ v ≤ 1, −2 ≤ u ≤ −0.5 and −2 ≤ z ≤ −0.5 and w = vz /u , then which of the following is necessarily true?

A
−0.5 ≤ w ≤ 2
B
−4 ≤ w ≤ 4
C
−4 ≤ w ≤ 2
D
−2 ≤ w ≤ −0.5
Solution:
Q.No: 57
Test Name : CAT Paper 2003 (L)
DIRECTIONS for Questions 126 to 150: Answer the questions independently of each other.

Consider the following two curves in the x-y plane:
y = x3 + x2 + 5
y = x2 + x + 5
Which of following statements is true for −2 ≤ x ≤ 2 ?

A
The two curves intersect once.
B
The two curves intersect twice.
C
The two curves do not intersect.
D
The two curves intersect thrice.
Solution:
Q.No: 58
Test Name : CAT Paper 2003 (L)
DIRECTIONS for Questions 126 to 150: Answer the questions independently of each other.

If x, y, z are distinct positive real numbers the would be

A
greater than 4.
B
greater than 5.
C
greater than 6.
D
None of the above
Solution:
Q.No: 59
Test Name : CAT Paper 2003 (R)
Directions for questions 60 to 93: Answer the following questions independently.

If both a and b belong to the set {1, 2, 3, 4}, then the number of equations of the form ax2 + bx + 1 = 0 having real roots is

A
10
B
7
C
6
D
12
Solution:
Q.No: 60
Test Name : CAT Paper 2003 (R)
Directions for questions 60 to 93: Answer the following questions independently.

If x and y are integers, then the equation 5x + 19y = 64 has

A
no solution for x < 300 and y < 0
B
no solution for x > 250 and y > –100
C
a solution for 250 < x < 300
D
a solution for –59 < y < –56
Solution:
Q.No: 61
Test Name : CAT Paper 2003 (R)
Directions for questions 60 to 93: Answer the following questions independently.

The number of roots common between the two equations x3 + 3x2 + 4x + 5 = 0 and x3 + 2x2 + 7x + 3 = 0 is

A
0
B
1
C
2
D
3
Solution:
Q.No: 62
Test Name : CAT Paper 1990
Questions. 59 and 60: In a game played by two people there were initially N match sticks kept on the table. A move in the game consists of a player removing either one or two matchsticks from the table. The one who takes the last matchstick loses. Players make moves alternately. The player who will make the first move is A. The other player is B.

There were x pigeons and y mynahs in a cage. One fine morning p of them escaped to freedom. If the bird keeper, knowing only that p = 7, was able to figure out without looking into the cage that at least one pigeon had escaped, then which of the following does not represent a possible (x,y) pair?

A
(10,8)
B
(7,2)
C
(25,6)
D
(12,4)
Solution:
For the bird keeper to figure out that at least 1 pigeon had escaped, the number of mynahs has to be less than 7. In other words, y < 7. Hence, the pair (10,8) is not a valid one.
Q.No: 63
Test Name : CAT Paper 1990

A
B
C
D
Solution:
Q.No: 64
Test Name : CAT Paper 1990

Let a, b be any positive integers and x = 0 or 1, then

A
B
C
D
None of the above is necessarily true.
Solution:
Q.No: 65
Test Name : CAT Paper 1990

From any two numbers x and y, we define x × y = x + 0.5y – xy. Suppose that both x and y are greater than 0.5. Then x × x < y × y if

A
1 > x > y
B
x > 1 > y
C
1 > y > x
D
y > 1 > x
Solution:
Q.No: 66
Test Name : CAT Paper 1990

A
> 1 if d > –1
B
> 3 if d > 1
C
> 2 if 0 < d < 0.5
D
< 2 if d < –2
Solution:
Q.No: 67
Test Name : CAT Paper 1990

Gopal went to a fruit market with certain amount of money. With this money he can buy either 50 oranges or 40 mangoes. He retains 10% of the money for taxi fare. If he buys 20 mangoes, then the number of oranges he can buy is

A
25
B
18
C
20
D
None of these
Solution:
Let Gopal have Rs. 400. The price of an orange and that of a mango would be Rs.8 and Rs.10 respectively. If he keeps 10% of the money for taxi fare, he is left with Rs.360.
Now if he buys 20 mangoes i.e. if he spends Rs. 200, he is left with Rs.160, for which he can buy 20 oranges.
Q.No: 68
Test Name : CAT Paper 1990

The roots of the equation ax2 + 3x + 6 = 0 will be reciprocal to each other if the value of a is

A
3
B
4
C
5
D
6
Solution:
Q.No: 69
Test Name : CAT Paper 1990

If xy + yz + zx = 0, then (x + y + z)2 equals

A
(x + y)2 + xz
B
(x + z)2 + xy
C
x2 + y2 + z2
D
2(xy + yz + xz)
Solution:
Q.No: 70
Test Name : CAT Paper 1990

I brought 30 books on Mathematics, Physics, and Chemistry, priced at Rs.17, Rs.19, and Rs.23 per book respectively, for distribution among poor students of Standard X of a school. The physics books were more in number than the Mathematics books but less than the Chemistry books, the difference being more than one. The total cost amounted to Rs.620. How many books on Mathematics, Physics, and Chemistry could have been bought respectively?

A
5, 8, 17
B
5, 12, 13
C
5, 10, 15
D
5, 6, 19
Solution:
Q.No: 71
Test Name : CAT Paper 1990

The last time Rahul bought Diwali cards, he found that the four types of cards that he liked were priced Rs.2.00, Rs.3.50, Rs.4.50 and Rs.5.00 each. As Rahul wanted 30 cards, he took five each of two kinds and ten each of the other two, putting down the exact number of 10 rupees notes on the payment counter. How many notes did Rahul give?

A
8
B
9
C
10
D
11
Solution:
Solution:


Solution:


Solution:


Solution:


Solution:


Solution:


Solution:


Solution:


Solution:


Solution:


Solution:


Solution:


Solution:


Solution:


Solution:


Solution:


Solution:


Solution:


Solution:


Solution:


Solution:


Solution:


Solution:
Let the amount with Gopal be Rs. 400. Therefore, price of an orange is then Rs. 8 and that of a mango is Rs.10. If he keeps 10% of the money for taxi fare, he is left with Rs.360. Now if he buys 20 mangoes, then he spends on mangoes Rs. 200. Now he is left with Rs.160, in which he can buy 20 oranges.


Solution:


Solution:
The two equations are : 2o + 3b + 4a = 15 and 3o + 2b + a = 10.
Adding the two equations, we get
5o + 5b + 5a = 25
⇒ o + b + a = 5
⇒ 3o + 3b + 3a = 15.


Solution:


Solution:
The price of 1 mango is equal to the price of 2 oranges. Hence, 5 mangoes will be equivalent to 10 oranges. So 20 oranges cost Rs.40, therefore one orange will cost Rs.2.


Solution:
Since there are two numbers which are less than 1 (viz. x and y), it is obvious that the median will be less than 1. Hence, (c) cannot be the answer. Since x < 0.5 and 0 < y < 1, the median will not be less than 0. Hence, the answer is (b).


Solution:
In this case since x, y and z are distinct positive integers, our aim is figure out which of the answer choices cannot be expressed as the sum of 3 integers uniquely. E.g. 6 can only be expressed as (1 + 2 + 3). 7 can only be expressed as (1 + 2 + 4). But 8 can be expressed as either (1, 2, 5) or (1, 3, 4).


Solution:
Since Akbar likes rain, he cannot be a frisbee player (as no frisbee player likes rain). And since every boy in the school does one of the two, Akbar has to be a fisherman.


Solution:


Solution:


Solution:


Solution:


Solution:
Since the ages of none of them is mentioned and we have two equations and three unknowns. Hence, we cannot say anything about the ages of any of them.


Solution:
Miguel’s income = 5 + (0.02 × 25) + (0.03 × 25) + (0.04 × 50) = $8.25.
Martin’s commission = $10.
Hence, obviously I > II.


Solution:
Let us assume that the person has Rs.100.
With this, he can buy 50 oranges or 40 mangoes.
In other words, the price of an orange is Rs.2 and that of a mango is Rs.2.50.
If he decides to keep 10% of his money for taxi fare, he would be left with Rs.90.
Now if he buys 20 mangoes, he would spend Rs.50 and will be left with Rs.40.
Thus, he can buy 20 oranges.


Solution:


Solution:


Solution:


Solution:


Solution:


Solution:


Solution:


Solution:


Solution:


Solution:


Solution:


Solution:


Solution:


Solution:


Solution:


Solution:
It is given that p + q + r ≠ 0 , if we consider the first
option, and multiply the first equation by 5, second by
–2 and third by –1, we see that the coefficients of x,
y and z all add up-to zero.
Thus, 5p – 2q – r = 0
No other option satisfies this.


Solution:


Solution:


Solution:


Solution:


Solution:


Solution:


Solution:


Solution:


Solution:
For the bird keeper to figure out that at least 1 pigeon had escaped, the number of mynahs has to be less than 7. In other words, y < 7. Hence, the pair (10,8) is not a valid one.


Solution:


Solution:


Solution:


Solution:


Solution:
Let Gopal have Rs. 400. The price of an orange and that of a mango would be Rs.8 and Rs.10 respectively. If he keeps 10% of the money for taxi fare, he is left with Rs.360.
Now if he buys 20 mangoes i.e. if he spends Rs. 200, he is left with Rs.160, for which he can buy 20 oranges.


Solution:


Solution:


Solution:


Solution:


© 2025 CL Educate Ltd. All rights reserved.