Back Home
Persistent Timer

PnC

Q.No: 1
Test Name : CAT Paper 2004

In the adjoining figure, the lines represent one-way roads allowing travel only northwards or only westwards. Along how many distinct routes can a car reach point B from point A?

A
15
B
56
C
120
D
336
Solution:
Q.No: 2
Test Name : CAT Paper 2004

A new flag is to be designed with six vertical stripes using some or all of the colours yellow, green, blue and red. Then, the number of ways this can be done so that no two adjacent stripes have the same colour is

A
12 × 81
B
16 × 192
C
20 × 125
D
24 × 216
Solution:
Q.No: 3
Test Name : CAT Paper 2008

How many integers, greater than 999 but not greater than 4000, can be formed with the digits 0, 1, 2, 3 and 4, if repetition of digits is allowed?

A
499
B
500
C
375
D
376
E
501
Solution:
Q.No: 4
Test Name : CAT Paper 2008

The figure below shows the plan of a town. The streets are at right angles to each other. A rectangular park (P) is situated inside the town with a diagonal road running through it. There is also a prohibited region (D) in the town.



Neelam rides her bicycle from her house at A to her office at B, taking the shortest path. Then the number of possible shortest paths that she can choose is

A
60
B
75
C
45
D
90
E
72
Solution:
Q.No: 5
Test Name : CAT Paper 2008

The figure below shows the plan of a town. The streets are at right angles to each other. A rectangular park (P) is situated inside the town with a diagonal road running through it. There is also a prohibited region (D) in the town.



Neelam rides her bicycle from her house at A to her club at C, via B taking the shortest path. Then the number of possible shortest paths that she can choose is

A
1170
B
630
C
792
D
1200
E
936
Solution:
Q.No: 6
Test Name : CAT Paper 2008

What is the number of distinct terms in the expansion of (a + b + c)20?

A
231
B
253
C
242
D
210
E
228
Solution:
Q.No: 7
Test Name : CAT Paper 2008
Directions for Questions 19 and 20:
Mark (1) if Q can be answered from A alone but not from B alone.
Mark (2) if Q can be answered from B alone but not from A alone.
Mark (3) if Q can be answered from A alone as well as from B alone.
Mark (4) if Q can be answered from A and B together but not from any of them alone.
Mark (5) if Q cannot be answered even from A and B together.

In a single elimination tournament, any a player is eliminated with a single loss. The tournament is played in multiple rounds subject to the following rules :
(a) If the number of players, say n, in any round is even, then the players are grouped into n/2 pairs. The players in each pair play a match against each other and the winner moves on to the next round.
(b) If the number of players, say n, in any round is odd, then one of them is given a bye, that is he automatically moves on to the next round. The remaining (n–1) players are grouped into (n–1)/2 pairs. The players in each pair play a match against each other and the winner moves on to the next round. No player gets more than one bye in the entire tournament.

Thus, if n is even, then n/2 players move on to the next round while if n is odd, then (n+1)/2 players move on to the next round. The process is continued till the final round, which obviously is played between two players. The winner in the final round is the champion of the tournament.

What is the number of matches played by the champion?
A. The entry list for the tournament consists of 83 players?
B. The champion received one bye.

A
Mark (1) if Q can be answered from A alone but not from B alone.
B
Mark (2) if Q can be answered from B alone but not from A alone.
C
Mark (3) if Q can be answered from A alone as well as from B alone.
D
Mark (4) if Q can be answered from A and B together but not from any of them alone.
E
Mark (5) if Q cannot be answered even from A and B together.
Solution:
Q.No: 8
Test Name : CAT Paper 2008
Directions for Questions 19 and 20:
Mark (1) if Q can be answered from A alone but not from B alone.
Mark (2) if Q can be answered from B alone but not from A alone.
Mark (3) if Q can be answered from A alone as well as from B alone.
Mark (4) if Q can be answered from A and B together but not from any of them alone.
Mark (5) if Q cannot be answered even from A and B together.

In a single elimination tournament, any a player is eliminated with a single loss. The tournament is played in multiple rounds subject to the following rules :
(a) If the number of players, say n, in any round is even, then the players are grouped into n/2 pairs. The players in each pair play a match against each other and the winner moves on to the next round.
(b) If the number of players, say n, in any round is odd, then one of them is given a bye, that is he automatically moves on to the next round. The remaining (n–1) players are grouped into (n–1)/2 pairs. The players in each pair play a match against each other and the winner moves on to the next round. No player gets more than one bye in the entire tournament.

Thus, if n is even, then n/2 players move on to the next round while if n is odd, then (n+1)/2 players move on to the next round. The process is continued till the final round, which obviously is played between two players. The winner in the final round is the champion of the tournament.

If the number of players, say n, in the first round was between 65 and 128, then what is the exact value of n?
A. Exactly one player received a bye in the entire tournament.
B. One player received a bye while moving on to the fourth round from the third round.

A
Mark (1) if Q can be answered from A alone but not from B alone.
B
Mark (2) if Q can be answered from B alone but not from A alone.
C
Mark (3) if Q can be answered from A alone as well as from B alone.
D
Mark (4) if Q can be answered from A and B together but not from any of them alone.
E
Mark (5) if Q cannot be answered even from A and B together.
Solution:
Q.No: 9
Test Name : CAT Paper 1991
Q 61 to 100 : Choose the best answer choice from those provided

How many 3-digit even numbers can you form such that if one of the digits is 5 then the following digit must be 7?

A
5
B
405
C
365
D
495
E
NA
Solution:
Three digit number such that 7 follows 5 could be of the form 57_ or _57
Since, the number is an even number
Therefore possible numbers are 570,572,574,576 or 578.
Hence, 5 such numbers are possible.
Q.No: 10
Test Name : CAT Paper 1991
Q 61 to 100 : Choose the best answer choice from those provided

What is the total number of ways to reach A to B in the network given?

A
12
B
16
C
20
D
22
E
NA
Solution:
Total number of ways to reach A to B = 4 × 2 × 2 × 1 = 16.
Q.No: 11
Test Name : CAT Paper 1991
Q 61 to 100 : Choose the best answer choice from those provided

In a six-node network, two nodes are connected to all the other nodes. Of the remaining four, each is connected to four nodes. What is the total number of links in the network?

A
13
B
15
C
7
D
26
E
NA
Solution:
Q.No: 12
Test Name : CAT Paper 1993
Q58 to 100 : Choose the appropriate answer choice.

Four cities are connected by a road network as shown in the figure. In how many ways can you start from any city and come back to it without travelling on the same road more than once?

A
8
B
12
C
16
D
20
Solution:
It can be seen that every city is connected to all the other 3 cities.
If we start from city A, there are 3 ways in which we can proceed, viz. AB, AD or AC.
Once we are at any of these cities, each one of them is connected to the other 3 cities. But since we cannot go back to city A, there are only 2 ways in which we can proceed from here.
If we are at B, we can take either paths BD or BC.
From this point, we have a choice of going directly to A (thus skipping 4th city) or go to 4th city and come back to A. Eg. If we are at D, we can either take DA or DCA. So there are 2 more ways to go from here. Hence, required number of ways = 3 x 2 x 2 = 12.
Q.No: 13
Test Name : CAT Paper 1993
Q58 to 100 : Choose the appropriate answer choice.

A five digit number is formed using digits 1, 3, 5, 7 and 9 without repeating any one of them. What is the sum of all such possible numbers?

A
6666600
B
6666660
C
6666666
D
None of these
Solution:
If we assume that any digit is in a fixed position, then the remaining four digits can be arranged in 4! = 24 ways. So each of the 5 digits will appear in each of the five places 24 times. So the sum of the digits in each position is 24(1 + 3 + 5 + 7 + 9) = 600.
Hence, the sum of all such numbers will be 600(1 + 10 + 100 + 1000 + 10000) = 6666600.
Q.No: 14
Test Name : CAT Paper 1993

Consider the five points comprising of the vertices of a square and the intersection point of its diagonals. How many triangles can be formed using these points?

A
4
B
6
C
8
D
10
Solution:
We can form a triangle with any 3 points which are not collinear. 3 points out of 5 can be chosen in 5C3 = 10 ways. But of these, the three points lying on the two diagonals will be collinear. So 10 – 2 = 8 triangles can be formed.
Q.No: 15
Test Name : CAT Paper 1995

Boxes numbered 1, 2, 3, 4 and 5 are kept in a row, and they are to be filled with either a red or a blue ball, such that no two adjacent boxes can be filled with blue balls. Then how many different arrangements are possible, given that all balls of a given colour are exactly identical in all respects?

A
8
B
10
C
15
D
13
Solution:
Q.No: 16
Test Name : CAT Paper 1995

Direction for questions 58 to 87: Answer the questions independently.

A, B, C and D are four towns, any three of which are non-collinear. Then the number of ways to construct three roads each joining a pair of towns so that the roads do not form a triangle is

A
7
B
8
C
9
D
24
Solution:
Let us choose a town, say A.
If I were to consider this as the base town and construct two roads such that I connect any pair of towns, I get the following combinations:
1. AB – BC, 2. AB – BD, 3. AC – CB, 4. AC – CD, 5. AD – DB and 6. AD – DC.
From any of these combinations, if I were to construct a road such that it again comes back to A, then it would form a triangle.
To avoid a triangle, the third road that I construct should not be connected to A but to the third town.
Hence, the combination would be:
1. AB – BC – CD, 2. AB – BD – DC, 3. AC – CB – BD,
4. AC – CD – DB, 5. AD – DB – BC and 6. AD – DC – CB.
Thus, from each town, we can construct 6 such combinations.
Hence, total number of combinations that we can have from four towns = (6 × 4) = 24.
Q.No: 17
Test Name : CAT Paper 1996

A man has 9 friends: 4 boys and 5 girls. In how many ways can he invite them, if there have to be exactly 3 girls in the invitees?

A
320
B
160
C
80
D
200
Solution:
Q.No: 18
Test Name : CAT Paper 1996

Direction for questions 141 to 145: Answer the questions based on the following information. A series S1 of five positive integers is such that the third term is half the first term and the fifth term is 20 more than the first term. In series S2, the nth term defined as the difference between the (n+1)th term and the nth term of series S1, is an arithmetic progression with a common difference of 30.

First term of S1 is

A
80
B
90
C
100
D
120
Solution:
Q.No: 19
Test Name : CAT Paper 1996

Direction for questions 141 to 145: Answer the questions based on the following information. A series S1 of five positive integers is such that the third term is half the first term and the fifth term is 20 more than the first term. In series S2, the nth term defined as the difference between the (n+1)th term and the nth term of series S1, is an arithmetic progression with a common difference of 30.

Second term of S2 is

A
50
B
60
C
70
D
None of these
Solution:
Q.No: 20
Test Name : CAT Paper 1996

Direction for questions 141 to 145: Answer the questions based on the following information. A series S1 of five positive integers is such that the third term is half the first term and the fifth term is 20 more than the first term. In series S2, the nth term defined as the difference between the (n+1)th term and the nth term of series S1, is an arithmetic progression with a common difference of 30.

What is the difference between second and fourth terms of S1?

A
10
B
20
C
30
D
60
Solution:
Q.No: 21
Test Name : CAT Paper 1996

Direction for questions 141 to 145: Answer the questions based on the following information. A series S1 of five positive integers is such that the third term is half the first term and the fifth term is 20 more than the first term. In series S2, the nth term defined as the difference between the (n+1)th term and the nth term of series S1, is an arithmetic progression with a common difference of 30.

What is the average value of the terms of series S1?

A
60
B
70
C
80
D
Average is not an integer
Solution:
Q.No: 22
Test Name : CAT Paper 1996

Direction for questions 141 to 145: Answer the questions based on the following information. A series S1 of five positive integers is such that the third term is half the first term and the fifth term is 20 more than the first term. In series S2, the nth term defined as the difference between the (n+1)th term and the nth term of series S1, is an arithmetic progression with a common difference of 30.

What is the sum of series S2?

A
10
B
20
C
30
D
40
Solution:
Q.No: 23
Test Name : CAT Paper 2001
Directions for questions 40 to 48: Answer the questions independently.

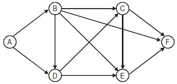
The figure below shows the network connecting cities A, B, C, D, E and F. The arrows indicate permissible direction of travel. What is the number of distinct paths from A to F?

A
9
B
10
C
11
D
None of these
Solution:
Q.No: 24
Test Name : CAT Paper 2003 (R)
Directions for questions 60 to 93: Answer the following questions independently.

An intelligence agency forms a code of two distinct digits selected from 0, 1, 2, …, 9 such that the first digit of the code is non-zero. The code, handwritten on a slip, can however potentially create confusion when read upside down — for example, the code 91 may appear as 16. How many codes are there for which no such confusion can arise?

A
80
B
78
C
71
D
69
Solution:
Q.No: 25
Test Name : CAT Paper 1990

There are six boxes numbered 1, 2, 3, 4, 5, 6. Each box is to be filled up either with a white ball or a black ball in such a manner that at least one box contains a black ball and all the boxes containing black balls are consecutively numbered. The total number of ways in which this can be done equals.

A
15
B
21
C
63
D
64
Solution:
Q.No: 26
Test Name : CAT Paper 1990

I happened to be the judge in the all India Essay Competition on Nylon Dying, organized some time back by a dyestuff firm. Mill technicians were eligible to enter the competition. My work was simplified in assessing the essays, which had to be done under five heads-Language, Coherence, Subject Matter, Machinery and Recent Developments. Marks were to be given out of a maximum of 20 under each head. There were only five entries.

The winner got 90 marks. Akhila got 13 in Coherence and Divya 10 in Machinery. Bhanu’s total was less than Akhila’s. Charulata has sent an entry. Ela had got as many marks as Divya. None got 20 under any head.
Who was the winner?

A
Divya
B
Charulata
C
Ela
D
Bhanu
Solution:
As Bhanu’s total was less than Akila’s, Bhanu cannot be the winner. As Ela’s and Divya’s marks are the same, none of them could be winners. The winner could hence be either Bhanu or Charulata. Now, Akhila got 13 in Coherence. Even if she gets 19 in all of the remaining (as no one got 20 in any 1 head), her total would only be 89. But the winner’s total is 90. So Charulata is the winner.
Q.No: 27
Test Name : CAT 2017 Actual Paper Slot 1

In how many ways can 7 identical erasers be distributed among 4 kids in such a way that each kid gets at least one eraser but nobody gets more than 3 erasers?

A
16
B
20
C
14
D
15
Solution:
Q.No: 28
Test Name : CAT 2017 Actual Paper Slot 2

In how many ways can 8 identical pens be distributed among Amal, Bimal, and Kamal so that Amal gets at least 1 pen, Bimal gets at least 2 pens, and Kamal gets at least 3 pens?

Solution:
Q.No: 29
Test Name : CAT 2017 Actual Paper Slot 2

How many four digit numbers, which are divisible by 6, can be formed using the digits 0, 2, 3, 4, 6, such that no digit is used more than once and 0 does not occur in the left-most position?

Solution:
Q.No: 30
Test Name : CAT Actual Paper 2021 Slot-1

The number of groups of three or more distinct numbers that can be chosen from 1, 2, 3, 4, 5, 6, 7 and 8 so that the groups always include 3 and 5, while 7 and 8 are never included together is

Solution:
Q.No: 31
Test Name : CAT Actual Paper 2021 Slot-2

The number of ways of distributing 15 identical balloons, 6 identical pencils and 3identical erasers among 3 children, such that each child gets at least four balloonsand one pencil, is

Solution:
Q.No: 32
Test Name : CAT Actual Paper 2021 Slot-3

A four-digit number is formed by using only the digits 1, 2 and 3 such that both 2 and 3 appear at least once. The number of all such four-digit numbers is

Solution:
Q.No: 33
Test Name : CAT Actual Paper 2022 Slot-1

The number of ways of distributing 20 identical balloons among 4 children such that each child gets some balloons but no child gets an odd number of balloons, is

Solution:
Q.No: 34
Test Name : CAT Actual Paper 2022 Slot-2

The number of integers greater than 2000 that can be formed with the digits 0, 1, 2, 3, 4, 5, using each digit at most once, is

A
1440
B
1480
C
1420
D
1200
Solution:
Solution:


Solution:


Solution:


Solution:


Solution:


Solution:


Solution:


Solution:


Solution:
Three digit number such that 7 follows 5 could be of the form 57_ or _57
Since, the number is an even number
Therefore possible numbers are 570,572,574,576 or 578.
Hence, 5 such numbers are possible.


Solution:
Total number of ways to reach A to B = 4 × 2 × 2 × 1 = 16.


Solution:


Solution:
It can be seen that every city is connected to all the other 3 cities.
If we start from city A, there are 3 ways in which we can proceed, viz. AB, AD or AC.
Once we are at any of these cities, each one of them is connected to the other 3 cities. But since we cannot go back to city A, there are only 2 ways in which we can proceed from here.
If we are at B, we can take either paths BD or BC.
From this point, we have a choice of going directly to A (thus skipping 4th city) or go to 4th city and come back to A. Eg. If we are at D, we can either take DA or DCA. So there are 2 more ways to go from here. Hence, required number of ways = 3 x 2 x 2 = 12.


Solution:
If we assume that any digit is in a fixed position, then the remaining four digits can be arranged in 4! = 24 ways. So each of the 5 digits will appear in each of the five places 24 times. So the sum of the digits in each position is 24(1 + 3 + 5 + 7 + 9) = 600.
Hence, the sum of all such numbers will be 600(1 + 10 + 100 + 1000 + 10000) = 6666600.


Solution:
We can form a triangle with any 3 points which are not collinear. 3 points out of 5 can be chosen in 5C3 = 10 ways. But of these, the three points lying on the two diagonals will be collinear. So 10 – 2 = 8 triangles can be formed.


Solution:


Solution:
Let us choose a town, say A.
If I were to consider this as the base town and construct two roads such that I connect any pair of towns, I get the following combinations:
1. AB – BC, 2. AB – BD, 3. AC – CB, 4. AC – CD, 5. AD – DB and 6. AD – DC.
From any of these combinations, if I were to construct a road such that it again comes back to A, then it would form a triangle.
To avoid a triangle, the third road that I construct should not be connected to A but to the third town.
Hence, the combination would be:
1. AB – BC – CD, 2. AB – BD – DC, 3. AC – CB – BD,
4. AC – CD – DB, 5. AD – DB – BC and 6. AD – DC – CB.
Thus, from each town, we can construct 6 such combinations.
Hence, total number of combinations that we can have from four towns = (6 × 4) = 24.


Solution:


Solution:


Solution:


Solution:


Solution:


Solution:


Solution:


Solution:


Solution:


Solution:
As Bhanu’s total was less than Akila’s, Bhanu cannot be the winner. As Ela’s and Divya’s marks are the same, none of them could be winners. The winner could hence be either Bhanu or Charulata. Now, Akhila got 13 in Coherence. Even if she gets 19 in all of the remaining (as no one got 20 in any 1 head), her total would only be 89. But the winner’s total is 90. So Charulata is the winner.


Solution:


Solution:


Solution:


Solution:


Solution:


Solution:


Solution:


Solution:


© 2025 CL Educate Ltd. All rights reserved.