Back Home
Persistent Timer

Reasoning

Q.No: 1
Test Name : CAT Paper 2001

Directions for questions 135 and 136: Answer the following questions based on the information given below.
Elle is three times older than Yogesh. Zaheer is half the age of Wahida. Yogesh is older than Zaheer.

Which of the following can be inferred?

A
Yogesh is older than Wahida
B
Elle is older than Wahida
C
Elle may be younger than Wahida
D
None of these
Solution:
Q.No: 2
Test Name : CAT Paper 2001

Directions for questions 135 and 136: Answer the following questions based on the information given below.
Elle is three times older than Yogesh. Zaheer is half the age of Wahida. Yogesh is older than Zaheer.

Which of the following information will be sufficient to estimate Elle’s age?

A
Zaheer is 10-year-old
B
Both Yogesh and Wahida are older than Zaheer by the same number of years
C
Both (a) and (b)
D
None of these
Solution:
From (a) Zaheer is 10-year-old means Wahida is 20-year-old. From (b) Yogesh and Wahida are older than Zaheer by same number of years.
This means Yogesh is 20-year-old. Now Elle is 3 times older than Yogesh.
Elle is 20 × 3 = 60-year-old.
Hence, we see that both (a) and (b) statements are needed so the answer is (c).
Q.No: 3
Test Name : CAT Paper 2001

Directions for questions 137 to 139: Answer the questions based on the passage below.
A group of three or four has to be selected from seven persons. Among the seven are two women: Fiza and Kavita, and five men: Ram, Shyam, David, Peter and Rahim. Ram would not like to be in the group If Shyam is also selected. Shyam and Rahim want to be selected together in the group. Kavita would like to be in the group only if David is also there. David, if selected, would not like Peter in the group. Ram would like to be in the group only if Peter is also there. David insists that Fiza be selected in case he is there in the group.

Which of the following is a feasible group of three?

A
David, Ram and Rahim
B
Peter, Shyam and Rahim
C
Kavita, David and Shyam
D
Fiza, David and Ram
Solution:
Checking from options,
(a) David, Rama and Rahim
Ram would like to be in the group only if Peter is there, so it is not feasible.
(b) Peter, Shyam and Rahim want to be selected together and none of them have problem or any conditions, hence feasible.
(c) Since Shyam is there, Rahim has to be but he is not also Fiza is not there which David insists so not feasible.
(d) Since Peter is not there Ram would not prefer that group, hence not feasible.
Q.No: 4
Test Name : CAT Paper 2001

Which of the following is a feasible group in four?

A
Ram, Peter, Fiza and Rahim
B
Shyam, Rahim, Kavita and David
C
Shyam, Rahim, Fiza and David
D
Fiza, David, Ram and Peter
Solution:
Looking at options, we see (c) is best as Shyam and Rahim is selected and Fiza is there when David is selected.
In (a) we see Shyam is not there with Rahim.
In (b) Fiza is not there with David.
In (d) Peter and David cannot go together as David would not like Peter in the group.
Q.No: 5
Test Name : CAT Paper 2001

Which of the following statements is true?

A
Kavita and Ram can be part of a group of four
B
A group of four can have two women
C
A group of four can have all four men
D
None of these
Solution:
In Ist option — Kavita is in the group means David is there and David would not like Peter in the group, whereas Ram would like to be in the group if Peter is there so the statement cannot be true.
2nd option — If David is there, then only the group will have both women Kavita and Fiza, but in that case we see none of the rest could be the fourth person as Shyam and Rahim has to be together and Ram would be if Peter is there and David would not like Peter in the group, hence statement is false.
3rd option — It is not possible as Ram cannot go with Shyam and David with Peter.
So none of the above statements are true.
Q.No: 6
Test Name : CAT Paper 2001

Directions for questions 140 to 146: Answer the questions independently.

On her walk through the park, Hamsa collected 50 coloured leaves, all either maple or oak. She sorted them by category when she got home, and found the following:
The number of red oak leaves with spots is even and positive.
The number of red oak leaves without any spot equals the number of red maple leaves without spots.
All non-red oak leaves have spots, and there are five times as many of them as there are red spotted oak leaves.
There are no spotted maple leaves that are not red.
There are exactly 6 red spotted maple leaves.
There are exactly 22 maple leaves that are neither spotted nor red.

How many oak leaves did she collect?

A
22
B
17
C
25
D
18
Solution:
Q.No: 7
Test Name : CAT Paper 2001

Directions for questions 140 to 146: Answer the questions independently.

Eight people carrying food baskets are going for a picnic on motorcycles. Their names are A, B, C, D, E, F, G, and H. They have 4 motorcycles M1, M2, M3 and M4 among them. They also have 4 food baskets O, P, Q and R of different sizes and shapes and each can be carried only on motorcycles M1, M2, M3 and M4 respectively. No more than 2 persons can travel on a motorcycle and no more than one basket can be carried on a motorcycle. There are 2 husband-wife pairs in this group of 8 people and each pair will ride on a motorcycle together. C cannot travel with A or B. E cannot travel with B or F. G cannot travel with F, or H, or D. The husband-wife pairs must carry baskets O and P. Q is with A and P is with D. F travels on M1 and E travels on M2 motorcycles. G is with Q, and B cannot go with R. Who is travelling with H?

A
A
B
B
C
C
D
D
Solution:
Q.No: 8
Test Name : CAT Paper 2001

Directions for questions 140 to 146: Answer the questions independently.

In a family gathering there are 2 males who are grandfathers and 4 males who are fathers. In the same gathering there are 2 females who are grandmothers and 4 females who are mothers. There is at least one grandson or a granddaughter present in this gathering. There are 2 husband-wife pairs in this group. These can either be a grandfather and a grandmother, or a father and a mother. The single grandfather (whose wife is not present) has 2 grandsons and a son present. The single grandmother (whose husband is not present) has 2 grand daughters and a daughter present. A grandfather or a grandmother present with their spouses does not have any grandson or granddaughter present.
What is the minimum number of people present in this gathering?

A
10
B
12
C
14
D
16
Solution:
Q.No: 9
Test Name : CAT Paper 2001

Directions for questions 140 to 146: Answer the questions independently.

I have a total of Rs. 1,000. Item A costs Rs. 110, item B costs Rs. 90, item C costs Rs. 70, item D costs Rs. 40 and item E costs Rs. 45. For every item D that I purchase, I must also buy two of item B. For every item of A, I must buy one item of C. For every item E, I must also buy two of item D and one of item B. For every item purchased I earn 1,000 points and for every rupee not spent I earn a penalty of 1,500 points. My objective is to maximise the points I earn.
What is the number of items that I must purchase to maximise my points?

A
13
B
14
C
15
D
16
Solution:
Q.No: 10
Test Name : CAT Paper 2001

Directions for questions 140 to 146: Answer the questions independently.

Four friends Ashok, Bashir, Chirag and Deepak are out for shopping. Ashok has less money than three times the amount that Bashir has. Chirag has more money than Bashir. Deepak has an amount equal to the difference of amounts with Bashir and Chirag. Ashok has three times the money with Deepak. They each have to buy at least one shirt, or one shawl, or one sweater, or one jacket that are priced Rs. 200, Rs. 400, Rs. 600, and Rs. 1,000 a piece respectively. Chirag borrows Rs. 300 from Ashok and buys a jacket. Bashir buys a sweater after borrowing Rs. 100 from Ashok and is left with no money. Ashok buys three shirts. What is the costliest item that Deepak could buy with his own money?

A
A shirt
B
A shawl
C
A sweater
D
A jacket
Solution:
Bashir < Chirag.
Now Chirag borrows Rs. 300 and Bashir Rs. 100 from Ashok. Ashok buys 3 shirt so he must have at least Rs. 1,000.
Bashir is left with no money after buying a sweater and he had to borrow Rs.100 from Ashok means he had Rs. 500 with him.
Ashok must have less than Rs. 1,500.
Ashok has three times the money with Deepak.
So Deepak cannot have Rs. 300 because Ashok must have Rs.1,000, again Deepak cannot have Rs. 500 because Ashok should have less than Rs.1,500.
So Deepak has Rs. 400 for which he can purchase the shawl which is costliest.
Q.No: 11
Test Name : CAT Paper 2001

Directions for questions 140 to 146: Answer the questions independently.

In a ‘keep-fit’ gymnasium class there are 15 females enrolled in a weight-loss programme. They all have been grouped in any one of the five weight-groups W1, W2, W3, W4, or W5. One instructor is assigned to one weight-group only. Sonali, Shalini, Shubhra and Shahira belong to the same weightgroup. Sonali and Rupa are in one weight-group, Rupali and Renuka are also in one weight-group. Rupa, Radha, Renuka, Ruchika, and Ritu belong to different weight-groups. Somya cannot be with Ritu, and Tara cannot be with Radha. Komal cannot be with Radha, Somya, or Ritu. Shahira is in W1 and Somya is in W4 with Ruchika. Sweta and Jyotika cannot be with Rupali, but are in a weightgroup with total membership of four. No weight-group can have more than five or less than one member. Amita, Babita, Chandrika, Deepika and Elina are instructors of weight-groups with membership sizes 5, 4, 3, 2 and 1 respectively. Who is the instructor of Radha?

A
Babita
B
Elina
C
Chandrika
D
Deepika
Solution:
Q.No: 12
Test Name : CAT Paper 2003 (R)
Directions for questions 147 to 150: Answer the questions on the basis of the following information.


The plan above shows an office block for six officers — A, B, C, D, E and F. Both B and C occupy offices to the right of the corridor (as one enters the office block) and A occupies an office to the left of the corridor. E and F occupy offices on opposite sides of the corridor but their offices do not face each other. The offices of C and D face each other. E does not have a corner office. F’s office is further down the corridor than A’s, but on the same side.

If E sits in his office and faces the corridor, whose office is to his left?

A
A
B
B
C
C
D
D
Solution:


If E faces the corridor, person to his left is C. So the answer is (3).
Q.No: 13
Test Name : CAT Paper 2003 (R)
Directions for questions 147 to 150: Answer the questions on the basis of the following information.


The plan above shows an office block for six officers — A, B, C, D, E and F. Both B and C occupy offices to the right of the corridor (as one enters the office block) and A occupies an office to the left of the corridor. E and F occupy offices on opposite sides of the corridor but their offices do not face each other. The offices of C and D face each other. E does not have a corner office. F’s office is further down the corridor than A’s, but on the same side.

Whose office faces A’s office?

A
B
B
C
C
D
D
E
Solution:


According to figure, E faces A’s office. So the answer is (4).
Q.No: 14
Test Name : CAT Paper 2003 (R)
Directions for questions 147 to 150: Answer the questions on the basis of the following information.


The plan above shows an office block for six officers — A, B, C, D, E and F. Both B and C occupy offices to the right of the corridor (as one enters the office block) and A occupies an office to the left of the corridor. E and F occupy offices on opposite sides of the corridor but their offices do not face each other. The offices of C and D face each other. E does not have a corner office. F’s office is further down the corridor than A’s, but on the same side.

Who is/are F’s neighbour(s)?

A
A only
B
A and D
C
C only
D
B and C
Solution:


According to figure, F’s neighbour is A. So the answer is (1).
Q.No: 15
Test Name : CAT Paper 2003 (R)
Directions for questions 147 to 150: Answer the questions on the basis of the following information.


The plan above shows an office block for six officers — A, B, C, D, E and F. Both B and C occupy offices to the right of the corridor (as one enters the office block) and A occupies an office to the left of the corridor. E and F occupy offices on opposite sides of the corridor but their offices do not face each other. The offices of C and D face each other. E does not have a corner office. F’s office is further down the corridor than A’s, but on the same side.

D was heard telling someone to go further down the corridor to the last office on the right. To whose room was he trying to direct that person?

A
A
B
B
C
C
D
F
Solution:


According to figure, B’s room is last on the right. So the answer is (2).
Q.No: 16
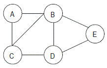
Test Name : CAT Paper 1990
Questions 95 and 96 : There are 5 cities, A, B, C, D and E connected by 7 roads as shown in the figure below:



Design a route such that you start from any city of your choice and walk on each of the 7 roads once and only once, not necessarily returning to the city from which you started.

For a route that satisfies the above restrictions, which of the following statements is true?

A
There is no route that satisfies the above restriction.
B
A route can either start at C or end at C, but not both.
C
D can be only an intermediate city in the route.
D
The route has to necessarily end at E.
Solution:
Option (a) cannot be true as there are many routes that satisfy the given condition. Option (c) is also not true as we can have a route starting from D (eg. DEBDCBAC). The route need not necessarily end at E, which is apparent from the given example. Hence, the correct option is (b).
Q.No: 17
Test Name : CAT Paper 1990
Questions 95 and 96 : There are 5 cities, A, B, C, D and E connected by 7 roads as shown in the figure below:



Design a route such that you start from any city of your choice and walk on each of the 7 roads once and only once, not necessarily returning to the city from which you started.

How many different starting cities are possible such that the above restriction is satisfied?

A
One
B
Zero
C
Three
D
Two
Solution:
City A is connected by 2 roads, B by 4 roads, C by 3 roads, D by 3 roads and E by 2 roads. For a city to be starting city for such a route, it has to be connected by odd number of roads. Hence, the required answer is 2 i.e. C and D are the stating cities.
Q.No: 18
Test Name : CAT Actual Paper 2022 Slot-1
Question Numbers (30 to 34): There are 15 girls and some boys among the graduating students in a class. They are planning a get-together, which can be either a 1-day event, or a 2-day event, or a 3-day event. There are 6 singers in the class, 4 of them are boys. There are 10 dancers in the class, 4 of them are girls. No dancer in the class is a singer.

Some students are not interested in attending the gettogether. Those students who are interested in attending a 3-day event are also interested in attending a 2-day event; those who are interested in attending a 2-day event are also interested in attending a 1-day event.

The following facts are also known:
1. All the girls and 80% of the boys are interested in attending a 1-day event. 60% of the boys are interested in attending a 2-day event.
2. Some of the girls are interested in attending a 1-day event, but not a 2-day event; some of the other girls are interested in attending both.
3. 70% of the boys who are interested in attending a 2-day event are neither singers nor dancers. 60% of the girls who are interested in attending a 2-day event are neither singers nor dancers.
4. No girl is interested in attending a 3-day event. All male singers and 2 of the dancers are interested in attending a 3-day event.
5. The number of singers interested in attending a 2-day event is one more than the number of dancers interested in attending a 2-day event.

How many boys are there in the class?

Solution:


50 boys are there in the class.
Q.No: 19
Test Name : CAT Actual Paper 2022 Slot-1
Question Numbers (30 to 34): There are 15 girls and some boys among the graduating students in a class. They are planning a get-together, which can be either a 1-day event, or a 2-day event, or a 3-day event. There are 6 singers in the class, 4 of them are boys. There are 10 dancers in the class, 4 of them are girls. No dancer in the class is a singer.

Some students are not interested in attending the gettogether. Those students who are interested in attending a 3-day event are also interested in attending a 2-day event; those who are interested in attending a 2-day event are also interested in attending a 1-day event.

The following facts are also known:
1. All the girls and 80% of the boys are interested in attending a 1-day event. 60% of the boys are interested in attending a 2-day event.
2. Some of the girls are interested in attending a 1-day event, but not a 2-day event; some of the other girls are interested in attending both.
3. 70% of the boys who are interested in attending a 2-day event are neither singers nor dancers. 60% of the girls who are interested in attending a 2-day event are neither singers nor dancers.
4. No girl is interested in attending a 3-day event. All male singers and 2 of the dancers are interested in attending a 3-day event.
5. The number of singers interested in attending a 2-day event is one more than the number of dancers interested in attending a 2-day event.

Which of the following can be determined from the given information?
I. The number of boys who are interested in attending a 1-day event and are neither dancers nor singers.
II. The number of female dancers who are interested in attending a 1-day event.

A
Only II
B
Both I and II
C
Only I
D
Neither I nor II
Solution:


Statement I cannot be determined.
Q.No: 20
Test Name : CAT Actual Paper 2022 Slot-1
Question Numbers (30 to 34): There are 15 girls and some boys among the graduating students in a class. They are planning a get-together, which can be either a 1-day event, or a 2-day event, or a 3-day event. There are 6 singers in the class, 4 of them are boys. There are 10 dancers in the class, 4 of them are girls. No dancer in the class is a singer.

Some students are not interested in attending the gettogether. Those students who are interested in attending a 3-day event are also interested in attending a 2-day event; those who are interested in attending a 2-day event are also interested in attending a 1-day event.

The following facts are also known:
1. All the girls and 80% of the boys are interested in attending a 1-day event. 60% of the boys are interested in attending a 2-day event.
2. Some of the girls are interested in attending a 1-day event, but not a 2-day event; some of the other girls are interested in attending both.
3. 70% of the boys who are interested in attending a 2-day event are neither singers nor dancers. 60% of the girls who are interested in attending a 2-day event are neither singers nor dancers.
4. No girl is interested in attending a 3-day event. All male singers and 2 of the dancers are interested in attending a 3-day event.
5. The number of singers interested in attending a 2-day event is one more than the number of dancers interested in attending a 2-day event.

What fraction of the class are interested in attending a 2-day event?

A
7/10
B
7/13
C
2/3
D
9/13
Solution:


The fraction of the class interested in attending a 2-day event is 7/13.
Q.No: 21
Test Name : CAT Actual Paper 2022 Slot-1
Question Numbers (30 to 34): There are 15 girls and some boys among the graduating students in a class. They are planning a get-together, which can be either a 1-day event, or a 2-day event, or a 3-day event. There are 6 singers in the class, 4 of them are boys. There are 10 dancers in the class, 4 of them are girls. No dancer in the class is a singer.

Some students are not interested in attending the gettogether. Those students who are interested in attending a 3-day event are also interested in attending a 2-day event; those who are interested in attending a 2-day event are also interested in attending a 1-day event.

The following facts are also known:
1. All the girls and 80% of the boys are interested in attending a 1-day event. 60% of the boys are interested in attending a 2-day event.
2. Some of the girls are interested in attending a 1-day event, but not a 2-day event; some of the other girls are interested in attending both.
3. 70% of the boys who are interested in attending a 2-day event are neither singers nor dancers. 60% of the girls who are interested in attending a 2-day event are neither singers nor dancers.
4. No girl is interested in attending a 3-day event. All male singers and 2 of the dancers are interested in attending a 3-day event.
5. The number of singers interested in attending a 2-day event is one more than the number of dancers interested in attending a 2-day event.

What BEST can be concluded about the number of male dancers who are interested in attending a 1-day event?

A
6
B
5
C
4 or 6
D
5 or 6
Solution:


The numbers of male dancers who are interested in attending a 1-day event can be either 5 or 6.
Q.No: 22
Test Name : CAT Actual Paper 2022 Slot-1
Question Numbers (30 to 34): There are 15 girls and some boys among the graduating students in a class. They are planning a get-together, which can be either a 1-day event, or a 2-day event, or a 3-day event. There are 6 singers in the class, 4 of them are boys. There are 10 dancers in the class, 4 of them are girls. No dancer in the class is a singer.

Some students are not interested in attending the gettogether. Those students who are interested in attending a 3-day event are also interested in attending a 2-day event; those who are interested in attending a 2-day event are also interested in attending a 1-day event.

The following facts are also known:
1. All the girls and 80% of the boys are interested in attending a 1-day event. 60% of the boys are interested in attending a 2-day event.
2. Some of the girls are interested in attending a 1-day event, but not a 2-day event; some of the other girls are interested in attending both.
3. 70% of the boys who are interested in attending a 2-day event are neither singers nor dancers. 60% of the girls who are interested in attending a 2-day event are neither singers nor dancers.
4. No girl is interested in attending a 3-day event. All male singers and 2 of the dancers are interested in attending a 3-day event.
5. The number of singers interested in attending a 2-day event is one more than the number of dancers interested in attending a 2-day event.

How many female dancers are interested in attending a 2-day event?

A
Cannot be determined
B
1
C
0
D
2
Solution:


Number of female dancers interested in attending a 2-day event is equal to ‘0’.
Q.No: 23
Test Name : CAT Actual Paper 2022 Slot-2
Question Numbers (40 to 44): A speciality supermarket sells 320 products. Each of these products was either a cosmetic product or a nutrition product. Each of these products was also either a foreign product or a domestic product. Each of these products had at least one of the two approvals – FDA or EU.
The following facts are also known:

1. There were equal numbers of domestic and foreign products.
2. Half of the domestic products were FDA approved cosmetic products.
3. None of the foreign products had both the approvals, while 60 domestic products had both the approvals.
4. There were 140 nutrition products, half of them were foreign products.
5. There were 200 FDA approved products. 70 of them were foreign products and 120 of them were cosmetic products.

How many foreign products were FDA approved cosmetic products?

Solution:


40 foreign products were FDA approved cosmetic products.
Q.No: 24
Test Name : CAT Actual Paper 2022 Slot-2
Question Numbers (40 to 44): A speciality supermarket sells 320 products. Each of these products was either a cosmetic product or a nutrition product. Each of these products was also either a foreign product or a domestic product. Each of these products had at least one of the two approvals – FDA or EU.
The following facts are also known:

1. There were equal numbers of domestic and foreign products.
2. Half of the domestic products were FDA approved cosmetic products.
3. None of the foreign products had both the approvals, while 60 domestic products had both the approvals.
4. There were 140 nutrition products, half of them were foreign products.
5. There were 200 FDA approved products. 70 of them were foreign products and 120 of them were cosmetic products.

How many cosmetic products did not have FDA approval?

A
60
B
10
C
50
D
Cannot be determined
Solution:


60 cosmetic products did not have FDA approval.
Q.No: 25
Test Name : CAT Actual Paper 2022 Slot-2
Question Numbers (40 to 44): A speciality supermarket sells 320 products. Each of these products was either a cosmetic product or a nutrition product. Each of these products was also either a foreign product or a domestic product. Each of these products had at least one of the two approvals – FDA or EU.
The following facts are also known:

1. There were equal numbers of domestic and foreign products.
2. Half of the domestic products were FDA approved cosmetic products.
3. None of the foreign products had both the approvals, while 60 domestic products had both the approvals.
4. There were 140 nutrition products, half of them were foreign products.
5. There were 200 FDA approved products. 70 of them were foreign products and 120 of them were cosmetic products.

If 50 nutrition products did not have EU approval, then how many domestic cosmetic products did not have EU approval?

Solution:


Q.No: 26
Test Name : CAT Actual Paper 2022 Slot-2
Question Numbers (40 to 44): A speciality supermarket sells 320 products. Each of these products was either a cosmetic product or a nutrition product. Each of these products was also either a foreign product or a domestic product. Each of these products had at least one of the two approvals – FDA or EU.
The following facts are also known:

1. There were equal numbers of domestic and foreign products.
2. Half of the domestic products were FDA approved cosmetic products.
3. None of the foreign products had both the approvals, while 60 domestic products had both the approvals.
4. There were 140 nutrition products, half of them were foreign products.
5. There were 200 FDA approved products. 70 of them were foreign products and 120 of them were cosmetic products.

If 70 cosmetic products did not have EU approval, then how many nutrition products had both the approvals?

A
20
B
30
C
50
D
10
Solution:


Q.No: 27
Test Name : CAT Actual Paper 2022 Slot-2
Question Numbers (40 to 44): A speciality supermarket sells 320 products. Each of these products was either a cosmetic product or a nutrition product. Each of these products was also either a foreign product or a domestic product. Each of these products had at least one of the two approvals – FDA or EU.
The following facts are also known:

1. There were equal numbers of domestic and foreign products.
2. Half of the domestic products were FDA approved cosmetic products.
3. None of the foreign products had both the approvals, while 60 domestic products had both the approvals.
4. There were 140 nutrition products, half of them were foreign products.
5. There were 200 FDA approved products. 70 of them were foreign products and 120 of them were cosmetic products.

Which among the following options best represents the number of domestic cosmetic products that had both the approvals?

A
At least 20 and at most 50
B
At least 10 and at most 80
C
At least 20 and at most 70
D
At least 10 and at most 60
Solution:


Since a + x = 80 and x + y = 60
Therefore, x can be maximum 60.
and because b + y = 50, y can be 50 max,
which implies b can be 0, x can be 10, a can be minimum 70.

So x can be at least 10 and at most 60.
Solution:


Solution:
From (a) Zaheer is 10-year-old means Wahida is 20-year-old. From (b) Yogesh and Wahida are older than Zaheer by same number of years.
This means Yogesh is 20-year-old. Now Elle is 3 times older than Yogesh.
Elle is 20 × 3 = 60-year-old.
Hence, we see that both (a) and (b) statements are needed so the answer is (c).


Solution:
Checking from options,
(a) David, Rama and Rahim
Ram would like to be in the group only if Peter is there, so it is not feasible.
(b) Peter, Shyam and Rahim want to be selected together and none of them have problem or any conditions, hence feasible.
(c) Since Shyam is there, Rahim has to be but he is not also Fiza is not there which David insists so not feasible.
(d) Since Peter is not there Ram would not prefer that group, hence not feasible.


Solution:
Looking at options, we see (c) is best as Shyam and Rahim is selected and Fiza is there when David is selected.
In (a) we see Shyam is not there with Rahim.
In (b) Fiza is not there with David.
In (d) Peter and David cannot go together as David would not like Peter in the group.


Solution:
In Ist option — Kavita is in the group means David is there and David would not like Peter in the group, whereas Ram would like to be in the group if Peter is there so the statement cannot be true.
2nd option — If David is there, then only the group will have both women Kavita and Fiza, but in that case we see none of the rest could be the fourth person as Shyam and Rahim has to be together and Ram would be if Peter is there and David would not like Peter in the group, hence statement is false.
3rd option — It is not possible as Ram cannot go with Shyam and David with Peter.
So none of the above statements are true.


Solution:


Solution:


Solution:


Solution:


Solution:
Bashir < Chirag.
Now Chirag borrows Rs. 300 and Bashir Rs. 100 from Ashok. Ashok buys 3 shirt so he must have at least Rs. 1,000.
Bashir is left with no money after buying a sweater and he had to borrow Rs.100 from Ashok means he had Rs. 500 with him.
Ashok must have less than Rs. 1,500.
Ashok has three times the money with Deepak.
So Deepak cannot have Rs. 300 because Ashok must have Rs.1,000, again Deepak cannot have Rs. 500 because Ashok should have less than Rs.1,500.
So Deepak has Rs. 400 for which he can purchase the shawl which is costliest.


Solution:


Solution:


If E faces the corridor, person to his left is C. So the answer is (3).


Solution:


According to figure, E faces A’s office. So the answer is (4).


Solution:


According to figure, F’s neighbour is A. So the answer is (1).


Solution:


According to figure, B’s room is last on the right. So the answer is (2).


Solution:
Option (a) cannot be true as there are many routes that satisfy the given condition. Option (c) is also not true as we can have a route starting from D (eg. DEBDCBAC). The route need not necessarily end at E, which is apparent from the given example. Hence, the correct option is (b).


Solution:
City A is connected by 2 roads, B by 4 roads, C by 3 roads, D by 3 roads and E by 2 roads. For a city to be starting city for such a route, it has to be connected by odd number of roads. Hence, the required answer is 2 i.e. C and D are the stating cities.


Solution:


50 boys are there in the class.


Solution:


Statement I cannot be determined.


Solution:


The fraction of the class interested in attending a 2-day event is 7/13.


Solution:


The numbers of male dancers who are interested in attending a 1-day event can be either 5 or 6.


Solution:


Number of female dancers interested in attending a 2-day event is equal to ‘0’.


Solution:


40 foreign products were FDA approved cosmetic products.


Solution:


60 cosmetic products did not have FDA approval.


Solution:




Solution:




Solution:


Since a + x = 80 and x + y = 60
Therefore, x can be maximum 60.
and because b + y = 50, y can be 50 max,
which implies b can be 0, x can be 10, a can be minimum 70.

So x can be at least 10 and at most 60.


© 2025 CL Educate Ltd. All rights reserved.