Back Home
Persistent Timer

Geometry

Q.No: 1
Test Name : CAT Paper 2004
In the adjoining figure I and II, are circles with P and Q respectively, The two circles touch each other and have common tangent that touches them at points R and S respectively. This common tangent meets the line joining P and Q at O. The diameters of I and II are in the ratio 4 : 3. It is also known that the length of PO is 28 cm.
"

What is the ratio of the length of PQ to that of QO?

A
1 : 4
B
1 : 3
C
3 : 8
D
3 : 4
Solution:
Q.No: 2
Test Name : CAT Paper 2004
In the adjoining figure I and II, are circles with P and Q respectively, The two circles touch each other and have common tangent that touches them at points R and S respectively. This common tangent meets the line joining P and Q at O. The diameters of I and II are in the ratio 4 : 3. It is also known that the length of PO is 28 cm.
"

What is the radius of the circle II?

A
2 cm
B
3 cm
C
4 cm
D
5 cm
Solution:
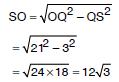
Q.No: 3
Test Name : CAT Paper 2004
In the adjoining figure I and II, are circles with P and Q respectively, The two circles touch each other and have common tangent that touches them at points R and S respectively. This common tangent meets the line joining P and Q at O. The diameters of I and II are in the ratio 4 : 3. It is also known that the length of PO is 28 cm.
"

The length of SO is

A
B
C
D
Solution:
Q.No: 4
Test Name : CAT Paper 2004

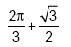
Let C be a circle with centre P0 and AB be a diameter of C. Suppose P1 is the mid point of the line segment P0B, P2 is the mid point of the line segment P1B and so on. Let C1, C2, C3, ... be circles with diameters P0P1, P1P2, P2P3... respectively. Suppose the circles C1, C2, C3, ... are all shaded. The ratio of the area of the unshaded portion of C to that of the original circle is

A
8 : 9
B
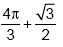
9 : 10
C
10 : 11
D
11 : 12
Solution:
Q.No: 5
Test Name : CAT Paper 2004

If the lengths of diagonals DF, AG and CE of the cube shown in the adjoining figure are equal to the three sides of a triangle, then the radius of the circle circumscribing that triangle will be

A
equal to the side of cube
B
C
E
impossible to find from the given information.
Solution:
Q.No: 6
Test Name : CAT Paper 2004

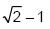
On a semicircle with diameter AD, chord BC is parallel to the diameter. Further, each of the chords AB and CD has length 2, while AD has length 8. What is the length of BC?

A
7.5
B
7
C
7.75
D
None of the above
Solution:
Q.No: 7
Test Name : CAT Paper 2004

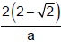
A circle with radius 2 is placed against a right angle. Another smaller circle is also placed as shown in the adjoining figure. What is the radius of the smaller circle?

A
B
C
D
Solution:
Q.No: 8
Test Name : CAT Paper 2004

In the adjoining figure, chord ED is parallel to the diameter AC of the circle. If , then what is the value of ?

A
35°
B
55°
C
45°
D
25°
Solution:
Q.No: 9
Test Name : CAT Paper 2005


Two identical circles intersect so that their centers, and the points at which they intersect, form a square of side 1 cm. The area in sq. cm of the portion that is common to the two circles is

A
B
C
D
Solution:
Q.No: 10
Test Name : CAT Paper 2005

A jogging park has two identical circular tracks touching each other, and a rectangular track enclosing the two circles. The edges of the rectangles are tangential to the circles. Two friends, A and B, start jogging simultaneously form the point where one of the circular tracks touches the smaller side of the rectangular track. A jogs along the rectangular track, while B jogs along the two circular tracks in a figure of eight. Approximately, how much faster than A does B have to run, so that they take the same time to return to their starting point?

A
3.88%
B
4.22%
C
4.44%
D
4.72%
Solution:
Q.No: 11
Test Name : CAT Paper 2005



What is the distance in cm between two parallel chords of lengths 32 cm and 24 cm in a circle of radius 20 cm?

A
1 or 7
B
2 or 14
C
3 or 21
D
4 or 28
Solution:
Q.No: 12
Test Name : CAT Paper 2005

In the X-Y plane, the area of the region bounded by the graph |x + y| + |x – y| = 4 is

A
8
B
12
C
16
D
20
Solution:
Q.No: 13
Test Name : CAT Paper 2005

In the following figure, the diameter of the circle is 3 cm. AB and MN are two diameters such that MN is perpendicular to AB. In addition, CG is perpendicular to AB such that AE:EB = 1:2, and DF is perpendicular to MN such that NL:LM = 1:2. The length of DH in cm is

A
B
C
D
Solution:
Q.No: 14
Test Name : CAT Paper 2005

Consider the triangle ABC shown in the following figure where BC = 12 cm, DB = 9 cm, CD = 6 cm and



What is the ratio of the perimeter of to that of the ?

A
B
C
D
Solution:
Q.No: 15
Test Name : CAT Paper 2005

P, Q, S and R are points on the circumference of a circle of radius r, such that PQR is an equilateral triangle and PS is a diameter of the circle. What is the perimeter of the quadrilateral PQSR?

A
B
C
D
Solution:
Q.No: 16
Test Name : CAT Paper 2007

Mark (1) if the questions can be answered using A alone but not using B alone.
Mark (2) if the question can be answered using B alone but not using A alone.
Mark (3) if the question can be answered using A and B together, but not using either A or B alone.
Mark (4) if the question cannot be answered even using A and B together.


Rahim plans to draw a square JKLM with point O on the side JK but is not successful. Why is Rahim unable to draw the square?
A: The length of OM is twice that of OL.
B: The length of OM is 4 cm.

A
(1)
B
(2)
C
(3)
D
(4)
Solution:
Q.No: 17
Test Name : CAT Paper 2007

Two circles with centres P and Q cut each other at two distinct points A and B. The circles have the same radii and neither P nor Q falls within the intersection of the circles. What is the smallest range that includes all possible values of the angle AQP in degrees?

A
Between 0 and 90
B
Between 0 and 30
C
Between 0 and 60
D
Between 0 and 75
E
Between 0 and 45
Solution:
Q.No: 18
Test Name : CAT Paper 2008

In a triangle ABC, the lengths of the sides AB and AC equal 17.5 cm and 9 cm respectively. Let D be a point on the line segment BC such that AD is perpendicular to BC. If AD = 3 cm, then what is the radius (in cm) of the circle circumscribing the triangle ABC?

A
17.05
B
27.85
C
22.45
D
32.25
E
26.25
Solution:
Q.No: 19
Test Name : CAT Paper 2008

Consider obtuse-angled triangles with sides 8 cm, 15 cm and x cm. If x is an integer then how many such triangles exist?

A
5
B
21
C
10
D
15
E
14
Solution:
Q.No: 20
Test Name : CAT Paper 2008

Consider a square ABCD with midpoints E, F, G, H of AB, BC, CD and DA respectively. Let L denote the line passing through F and H. Consider points P and Q, on L and inside ABCD such that the angles APD and BQC both equal 120°. What is the ratio of the area of ABQCDP to the remaining area inside ABCD?

A
4√2 / 3
B
2 + √3
C
10 - 3√3 / 9
D
1 + 1√3
E
2√3 - 1
Solution:
Q.No: 21
Test Name : CAT Paper 2008

Two circles, both of radii 1 cm, intersect such that the circumference of each one passes through the centre of the other. What is the area (in sq. cm.) of the intersecting region?

A
B
C
D
E
Solution:
Q.No: 22
Test Name : CAT Paper 1991
Q 61 to 100 : Choose the best answer choice from those provided

Let the consecutive vertices of a square S be A, B, C & D. Let E, F & G be the mid-points of the sides AB, BC & AD respectively of the square. Then the ratio of the area of the quadrilateral EFDG to that of the square S is nearest to

A
1/2
B
1/3
C
1/4
D
1/8
E
NA
Solution:
Q.No: 23
Test Name : CAT Paper 1991
Q 61 to 100 : Choose the best answer choice from those provided

A one rupee coin is placed on a table. The maximum number of similar one rupee coins which can be placed on the table, around it, with each one of them touching it and only two others is

A
8
B
6
C
10
D
4
E
NA
Solution:
Q.No: 24
Test Name : CAT Paper 1991
Q 61 to 100 : Choose the best answer choice from those provided

A man starting at a point walks one km east, then two km north, then one km east, then one km north, then one km east and then one km north to arrive at the destination. What is the shortest distance from the starting point to the destination?

A
B
7 km
C
D
5 km
E
NA
Solution:
Q.No: 25
Test Name : CAT Paper 1993
Q58 to 100 : Choose the appropriate answer choice.

The line AB is 6 metres in length and is tangent to the inner one of the two concentric circles at point C. It is known that the radii of the two circles are integers. The radius of the outer circle is

A
5 metres
B
4 metres
C
6 metres
D
3 metres
Solution:
Q.No: 26
Test Name : CAT Paper 1993
Q58 to 100 : Choose the appropriate answer choice.

Q78 and 79, use the following information: ABC forms an equilateral triangle in which B is 2 km from A. A person starts walking from B in a direction parallel to AC and stops when he reaches a point D directly east of C. He, then, reverses direction and walks till he reaches a point E directly south of C.

Then D is

A
3 km east and 1 km north of A
B
3 km east and km north of A
C
km east and 1 km south of A
D
km west and 3 km north of A
Solution:


Q.No: 27
Test Name : CAT Paper 1993
Q58 to 100 : Choose the appropriate answer choice.

Q78 and 79, use the following information: ABC forms an equilateral triangle in which B is 2 km from A. A person starts walking from B in a direction parallel to AC and stops when he reaches a point D directly east of C. He, then, reverses direction and walks till he reaches a point E directly south of C.

The total distance walked by the person is

A
3 km
B
4 km
C
D
6 km
Solution:
Q.No: 28
Test Name : CAT Paper 1994
Q51 – 90 : Choose the best alternative.

Q81 – 85 : Data is provided followed by two statements – I and II – both resulting in a value, say I and II. As your answer,
Mark (a) if I > II.
Mark (b) if I < II.
Mark (c) if I = II.
Mark (d) if nothing can be said.



In ΔACD, AD = AC and ∠C = 2∠E. The distance between parallel lines AB and CD is h. Then
I. Area of parallelogram ABCD
II. Area of ΔADE

A
a
B
b
C
c
D
d
Solution:
Q.No: 29
Test Name : CAT Paper 1994
Q51 – 90 : Choose the best alternative.

Q81 – 85 : Data is provided followed by two statements – I and II – both resulting in a value, say I and II. As your answer,
Mark (a) if I > II.
Mark (b) if I < II.
Mark (c) if I = II.
Mark (d) if nothing can be said.

k1, k2, k3 are parallel lines. AD = 2 cm, BE = 8 cm and CF = 32 cm.

A
a
B
b
C
c
D
d
Solution:
Q.No: 30
Test Name : CAT Paper 1995

Direction for questions 51 to 53: Answer these questions independently.

ABCD is a square of area 4, which is divided into four non-over lapping triangles as shown in figure. Then the sum of the perimeters of the triangles is

A
B
C
D
Solution:
Q.No: 31
Test Name : CAT Paper 1995

Direction for questions 58 to 87: Answer the questions independently.

Which one of the following cannot be the ratio of angles in a right-angled triangle?

A
1 : 2 : 3
B
1 : 1 : 2
C
1 : 3 : 6
D
None of these
Solution:
Q.No: 32
Test Name : CAT Paper 1995

Direction for questions 58 to 87: Answer the questions independently.

AB ⊥ BC, BD ⊥ AC and CE bisects ∠C, ∠A = 30°. Then what is ∠CED?

A
30°
B
60°
C
45°
D
65°
Solution:
Q.No: 33
Test Name : CAT Paper 1995

Direction for questions 58 to 87: Answer the questions independently.

PQRS is a square. SR is a tangent (at point S) to the circle with centre O and TR = OS. Then the ratio of area of the circle to the area of the square is

A
B
C
D
Solution:
Q.No: 34
Test Name : CAT Paper 1995

Direction for questions 58 to 87: Answer the questions independently.

In the adjoining figure, AC+ AB = 5AD and AC – AD = 8. Then the area of the rectangle ABCD is

A
36
B
50
C
60
D
Cannot be answered
Solution:
Q.No: 35
Test Name : CAT Paper 1995

Direction for questions 58 to 87: Answer the questions independently.

In the given figure, AB is diameter of the circle and points C and D are on the circumference such that ∠CAD = 30° and ∠CBA = 70°. What is the measure of ∠ACD?

A
40°
B
50°
C
30°
D
90°
Solution:
Q.No: 36
Test Name : CAT Paper 1995

Direction for questions 58 to 87: Answer the questions independently.

The length of a ladder is exactly equal to the height of the wall it is learning against. If lower end of the ladder is kept on a stool of height 3 m and the stool is kept 9 m away from the wall, the upper end of the ladder coincides with the top of the wall. Then the height of the wall is

A
12 m
B
15 m
C
18 m
D
11 m
Solution:
Q.No: 37
Test Name : CAT Paper 1996

If ABCD is a square and BCE is an equilateral triangle, what is the measure of ∠DEC?

A
15°
B
30°
C
20°
D
45°
Solution:
Q.No: 38
Test Name : CAT Paper 1996

The figure shows a circle of diameter AB and radius 6.5 cm. If chord CA is 5 cm long, find the area of ΔABC.

A
60 sq. cm
B
30 sq. cm
C
40 sq. cm
D
52 sq. cm
Solution:
Q.No: 39
Test Name : CAT Paper 1996

In ΔABC, ∠B is a right angle, AC = 6 cm, and D is the mid-point of AC. The length of BD is

A
4 cm
B
C
3 cm
D
3.5 cm
Solution:
Q.No: 40
Test Name : CAT Paper 2001
Directions for questions 1 to 37: Answer the questions independently.

A square, whose side is 2 m, has its corners cut away so as to form an octagon with all sides equal. Then the length of each side of the octagon, in meters, is

A
B
C
D
Solution:
Q.No: 41
Test Name : CAT Paper 2001
Directions for questions 1 to 37: Answer the questions independently.

A certain city has a circular wall around it, and this wall has four gates pointing north, south, east and west. A house stands outside the city, 3 km north of the north gate, and it can just be seen from a point 9 km east of the south gate. What is the diameter of the wall that surrounds the city?

A
6 km
B
9 km
C
12 km
D
None of these
Solution:
Q.No: 42
Test Name : CAT Paper 2001
Directions for questions 1 to 37: Answer the questions independently.

A
B
C
D
None of these
Solution:
Q.No: 43
Test Name : CAT Paper 2001
Directions for questions 1 to 37: Answer the questions independently.

A ladder leans against a vertical wall. The top of the ladder is 8 m above the ground. When the bottom of the ladder is moved 2 m farther away from the wall, the top of the ladder rests against the foot of the wall. What is the length of the ladder?

A
10 m
B
15 m
C
20 m
D
17 m
Solution:
Q.No: 44
Test Name : CAT Paper 2001
Directions for questions 1 to 37: Answer the questions independently.

Euclid has a triangle in mind. Its longest side has length 20 and another of its sides has length 10. Its area is 80. What is the exact length of its third side?

A
B
C
D
Solution:
Q.No: 45
Test Name : CAT Paper 2001
Directions for questions 1 to 37: Answer the questions independently.

In DDEF shown below, points A, B and C are taken on DE, DF and EF respectively such that EC = AC and CF = BC. If ∠D = 40° , then ∠ACB =

A
140°
B
70°
C
100°
D
None of these
Solution:
Q.No: 46
Test Name : CAT Paper 2001
Directions for questions 40 to 48: Answer the questions independently.

Based on the figure below, what is the value of x, if y = 10?

A
10
B
11
C
12
D
None of these
Solution:
Q.No: 47
Test Name : CAT Paper 2003 (L)
DIRECTIONS for Questions 111 to 113: Answer the questions on the basis of the information given below.

A city has two perfectly circular and concentric ring roads, the outer ring road (OR) being twice as long as the inner ring road (IR). There are also four (straight line) chord roads from E1, the east end point of OR to N2, the north end point of IR; from N1, the north end point of OR to W2, the west end point of IR; from W1, the west end point of OR, to S2, the south end point of IR; and from S1 the south end point of OR to E2, the east end point of IR. Traffic moves at a constant speed of 30π km/hr on the OR road, 20π km/hr on the IR road, and on all the chord roads.

The ratio of the sum of the lengths of all chord roads to the length of the outer ring road is

A
B
C
D
None of the above
Solution:
Q.No: 48
Test Name : CAT Paper 2003 (L)
DIRECTIONS for Questions 111 to 113: Answer the questions on the basis of the information given below.

A city has two perfectly circular and concentric ring roads, the outer ring road (OR) being twice as long as the inner ring road (IR). There are also four (straight line) chord roads from E1, the east end point of OR to N2, the north end point of IR; from N1, the north end point of OR to W2, the west end point of IR; from W1, the west end point of OR, to S2, the south end point of IR; and from S1 the south end point of OR to E2, the east end point of IR. Traffic moves at a constant speed of 30π km/hr on the OR road, 20π km/hr on the IR road, and on all the chord roads.

Amit wants to reach N2 from S1. It would take him 90 minutes if he goes on minor arc S1 – E1 on OR, and then on the chord road E1 – N2. What is the radius of the outer ring road in kms?

A
60
B
40
C
30
D
20
Solution:
Q.No: 49
Test Name : CAT Paper 2003 (L)
DIRECTIONS for Questions 111 to 113: Answer the questions on the basis of the information given below.

A city has two perfectly circular and concentric ring roads, the outer ring road (OR) being twice as long as the inner ring road (IR). There are also four (straight line) chord roads from E1, the east end point of OR to N2, the north end point of IR; from N1, the north end point of OR to W2, the west end point of IR; from W1, the west end point of OR, to S2, the south end point of IR; and from S1 the south end point of OR to E2, the east end point of IR. Traffic moves at a constant speed of 30π km/hr on the OR road, 20π km/hr on the IR road, and on all the chord roads.

Amit wants to reach E2 from N1 using first the chord N1 – W2 and then the inner ring road. What will be his travel time in minutes on the basis of information given in the above question?

A
60
B
45
C
90
D
105
Solution:
Q.No: 50
Test Name : CAT Paper 2003 (L)
DIRECTIONS for Questions 126 to 150: Answer the questions independently of each other.

There are two concentric circles such that the area of the outer circle is four times the area of the inner circle. Let A, B and C be three distinct points on the perimeter of the outer circle such that AB and AC are tangents to the inner circle. If the area of the outer circle is 12 square centimeters then the area (in square centimeters) of the triangle ABC would be

A
B
C
D
Solution:
Q.No: 51
Test Name : CAT Paper 2003 (L)
DIRECTIONS for Questions 126 to 150: Answer the questions independently of each other.

Three horses are grazing within a semi-circular field. In the diagram given below, AB is the diameter of the semi-circular field with center at O. Horses are tied up at P, R and S such that PO and RO are the radii of semi-circles with centers at P and R respectively, and S is the center of the circle touching the two semi-circles with diameters AO and OB. The horses tied at P and R can graze within the respective semi-circles and the horse tied at S can graze within the circle centred at S. The percentage of the area of the semi-circle with diameter AB that cannot be grazed by the horses is nearest to

A
20
B
28
C
36
D
40
Solution:
Q.No: 52
Test Name : CAT Paper 2003 (L)
DIRECTIONS for Questions 126 to 150: Answer the questions independently of each other.

A vertical tower OP stands at the center O of a square ABCD. Let h and b denote the length OP and AB respectively. Suppose ∠APB = 60° then the relationship between h and b can be expressed as

A
2b2 = h2
B
2h2 = b2
C
3b2 = 2h2
D
3h2 = 2b2
Solution:
Q.No: 53
Test Name : CAT Paper 2003 (L)
DIRECTIONS for Questions 126 to 150: Answer the questions independently of each other.

In the triangle ABC, AB = 6, BC = 8 and AC = 10. A perpendicular dropped from B, meets the side AC at D. A circle of radius BD (with center B) is drawn. If the circle cuts AB and BC at P and Q respectively, the AP : QC is equal to

A
1 : 1
B
3 : 2
C
4 : 1
D
3 : 8
Solution:
Q.No: 54
Test Name : CAT Paper 2003 (L)
DIRECTIONS for Questions 126 to 150: Answer the questions independently of each other.

In the diagram given below, ∠ABD = ∠CDB = ∠PQD = 90° . If AB : CD = 3 : 1, the ratio of CD : PQ is

A
1 : 0.69
B
1 : 0.75
C
1 : 0.72
D
None of the above.
Solution:
Q.No: 55
Test Name : CAT Paper 2003 (L)
DIRECTIONS for Questions 126 to 150: Answer the questions independently of each other.

In the figure below, AB is the chord of a circle with center O. AB is extended to C such that BC = OB. The straight line CO is produced to meet the circle at D. If ∠ACD = y degrees and ∠AOD = x degrees such that x = ky, then the value of k is

A
3
B
2
C
1
D
None of the above.
Solution:
Q.No: 56
Test Name : CAT Paper 2003 (L)
DIRECTIONS for Questions 126 to 150: Answer the questions independently of each other.

In the figure below, the rectangle at the corner measures 10 cm × 20 cm. The corner A of the rectangle is also a point on the circumference of the circle. What is the radius of the circle in cm?

A
10 cm
B
40 cm
C
50 cm
D
None of the above.
Solution:
Q.No: 57
Test Name : CAT Paper 2003 (R)
Directions for questions 60 to 93: Answer the following questions independently.

In the figure (not drawn to scale) given below, P is a point on AB such that AP : PB = 4 : 3. PQ is parallel to AC and QD is parallel to CP. In ΔARC, ∠ARC = 90 , and in ΔPQS , ∠PSQ = 90 . The length of QS is 6 cm. What is the ratio of AP : PD?

A
10 : 3
B
2 : 1
C
7 : 3
D
8 : 3
Solution:
Q.No: 58
Test Name : CAT Paper 2003 (R)
Directions for questions 60 to 93: Answer the following questions independently.

In the figure (not drawn to scale) given below, if AD = CD = BC and ∠BCE = 96 , how much is the value of ∠DBC?

A
32°
B
84°
C
64°
D
Cannot be determined
Solution:
Q.No: 59
Test Name : CAT Paper 2003 (R)
Directions for questions 60 to 93: Answer the following questions independently.

In the figure below (not drawn to scale), rectangle ABCD is inscribed in the circle with centre at O. The length of side AB is greater than side BC. The ratio of the area of the circle to the area of the rectangle ABCD is . The line segment DE intersects AB at E such that ∠ODC = ∠ADE. The ratio AE : AD is

A
B
C
D
1 : 2
Solution:
Q.No: 60
Test Name : CAT Paper 2003 (R)
Directions for questions 60 to 93: Answer the following questions independently.

The length of the circumference of a circle equals the perimeter of a triangle of equal sides, and also the perimeter of a square. The areas covered by the circle, triangle, and square are c, t and s, respectively. Then,

A
s > t > c
B
c > t > s
C
c > s > t
D
s > c > t
Solution:
It’s standard property among circle, square and triangle, for a given parameter, area of circle is the highest and area of the triangle is least whereas area of the square is in-between, i.e. c > s > t.
Q.No: 61
Test Name : CAT Paper 2003 (R)
Directions for questions 60 to 93: Answer the following questions independently.

Let S1 be a square of side a. Another square S2 is formed by joining the mid-points of the sides of S1. The same process is applied to S2 to form yet another square S3, and so on. If A1, A2, A3, … be the areas and P1, P2, P3, … be the perimeters of S1, S2, S3, …, respectively, then the ratio

A
B
C
D
Solution:
Q.No: 62
Test Name : CAT Paper 2003 (R)
Directions for questions 60 to 93: Answer the following questions independently.

In the figure given below (not drawn to scale), A, B and C are three points on a circle with centre O. The chord BA is extended to a point T such that CT becomes a tangent to the circle at point C. If ∠ATC = 30° and ∠ACT = 50°, then the angle ∠BOA is

A
100°
B
150°
C
80°
D
not possible to determine
Solution:
Q.No: 63
Test Name : CAT Paper 2003 (R)
Directions for questions 60 to 93: Answer the following questions independently.

Let ABCDEF be a regular hexagon. What is the ratio of the area of the Δ ACE to that of the hexagon ABCDEF?

A
B
C
D
Solution:
Q.No: 64
Test Name : CAT Paper 1990

A square is drawn by joining the midpoints of the sides of a given square. A third square is drawn inside the second square in the same way and this process is continued indefinitely. If side of the first square is 8 cm, the sum of the areas of all the squares such formed (in sq.cm.) is

A
128
B
120
C
96
D
None of these
Solution:
Solution:


Solution:


Solution:


Solution:


Solution:


Solution:


Solution:


Solution:


Solution:


Solution:


Solution:


Solution:


Solution:


Solution:


Solution:


Solution:


Solution:


Solution:


Solution:


Solution:


Solution:


Solution:


Solution:


Solution:


Solution:


Solution:




Solution:


Solution:


Solution:


Solution:


Solution:


Solution:


Solution:


Solution:


Solution:


Solution:


Solution:


Solution:


Solution:


Solution:


Solution:


Solution:


Solution:


Solution:


Solution:


Solution:


Solution:


Solution:


Solution:


Solution:


Solution:


Solution:


Solution:


Solution:


Solution:


Solution:


Solution:


Solution:


Solution:


Solution:
It’s standard property among circle, square and triangle, for a given parameter, area of circle is the highest and area of the triangle is least whereas area of the square is in-between, i.e. c > s > t.


Solution:


Solution:


Solution:


Solution:


© 2025 CL Educate Ltd. All rights reserved.