Back Home
Persistent Timer

Line Charts

Q.No: 1
Test Name : CAT Paper 2004

Which family has the lowest average income?

A
Ahuja
B
Bose
C
Coomar
D
Dubey
Solution:
Q.No: 2
Test Name : CAT Paper 2004

Which family has the highest average expenditure?

A
Ahuja
B
Bose
C
Coomar
D
Dubey
Solution:
Q.No: 3
Test Name : CAT Paper 2004

Which family has the lowest average savings?

A
Ahuja
B
Bose
C
Coomar
D
Dubey
Solution:
Q.No: 4
Test Name : CAT Paper 2004

The highest amount of savings accrues to a member of which family?

A
Ahuja
B
Bose
C
Coomar
D
Dubey
Solution:
Q.No: 5
Test Name : CAT Paper 1991
Q166 to 170 : The graph below shows the end of the month market values of 4 shares for the period from January to June. Answer the following questions based on this graph.

Which share showed the greatest percentage increase in market value in any month during the entire period?

A
A
B
B
C
C
D
D
E
NA
Solution:


As it is seen the highest % increase is for D in Feb. viz.25%.
Q.No: 6
Test Name : CAT Paper 1991
Q166 to 170 : The graph below shows the end of the month market values of 4 shares for the period from January to June. Answer the following questions based on this graph.

In which month was the greatest absolute change in market value for any share recorded?

A
March
B
April
C
May
D
June
E
NA
Solution:


The greatest absolute change in the market value for any share recorded is 20 i.e. for share “A” for month of March = 115 – 95 = 20.
Q.No: 7
Test Name : CAT Paper 1991
Q166 to 170 : The graph below shows the end of the month market values of 4 shares for the period from January to June. Answer the following questions based on this graph.

In which month was the greatest percentage increase in market value for any share recorded?

A
February
B
March
C
April
D
May
E
NA
Solution:


The greatest percentage change in any share was recorded for share D for the month of February viz. 25%.
Q.No: 8
Test Name : CAT Paper 1991
Q166 to 170 : The graph below shows the end of the month market values of 4 shares for the period from January to June. Answer the following questions based on this graph.

An individual wishes to sell 1 share of C and 1 share of D to buy 1 share of A at the end of a month. At which month-end would the individual’s loss from this decision, due to share value changes, be the most?

A
February
B
March
C
April
D
June
E
NA
Solution:


Q.No: 9
Test Name : CAT Paper 1991
Q166 to 170 : The graph below shows the end of the month market values of 4 shares for the period from January to June. Answer the following questions based on this graph.

An individual decides to sell 1 share of C and 1 share of D to buy 1 share of A at the end of the month. What can be the individual’s greatest gain from this decision, due to share value changes?

A
5
B
10
C
15
D
none
E
NA
Solution:


Again referring to the above table it can be seen that the individual’s highest gain is Rs.10.
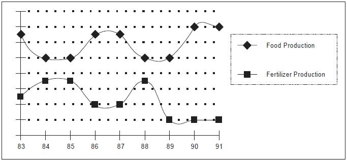
Q.No: 10
Test Name : CAT Paper 1991
Q 176 to 180 : Study the following graph and answer questions that follow. The x − axis denotes the years from 1983 to 1991.

The sum of food and fertilizer production has shown a constant value for how many years?

A
None of the years
B
2
C
4
D
5
E
NA
Solution:


If you see, for each year from 1984 to 1988 sum of food and fertilizers = 8.5x + 2k
Hence, it is constant for 5 years.
Q.No: 11
Test Name : CAT Paper 1991
Q 176 to 180 : Study the following graph and answer questions that follow. The x − axis denotes the years from 1983 to 1991.

If in 1988, the sum of the food and fertilizer production was 170 million tonnes, the value of food production must have been (approximately, in million tonnes) ...

A
90
B
70
C
100
D
Insufficient data
E
NA
Solution:


Fertilizers production in 1988 = 3.5x + k
Food production in 1988 = 5x + k
As per the given information
8.5x + 2 k = 170
Value of x and k cannot be determined.
Q.No: 12
Test Name : CAT Paper 1991
Q 176 to 180 : Study the following graph and answer questions that follow. The x − axis denotes the years from 1983 to 1991.

From its apparent behaviour, the food production in year 1992 can be expected to ...

A
go up
B
go down
C
remain the same as previous year.
D
nothing can be said.
E
NA
Solution:


The graph of food production shows an alternate increase and decrease in every 1 to 2 years. Hence looking at the trend of the graph in 1990 and 1991, it can be expected that the graph will go down in 1992.
Q.No: 13
Test Name : CAT Paper 1991
Q 176 to 180 : Study the following graph and answer questions that follow. The x − axis denotes the years from 1983 to 1991.

Going according to previous trends, one can say that the Fertilizer Production has shown an anomalous behaviour in which year?

A
1985
B
1984
C
1991
D
1989
E
NA
Solution:


It is clear that the graph for fertilizer production remains constant for two consecutive years. But it breaks this trend in 1989 as it has a value lower than its value in 1988.
Q.No: 14
Test Name : CAT Paper 1991
Q 176 to 180 : Study the following graph and answer questions that follow. The x − axis denotes the years from 1983 to 1991.

A scholar observed that if the production of fertilizers in 1989 had been the same as that in 1988, then the total fertilizer production for all the given years would have been 450 million tonnes. Using this information, and knowing that the food production has been plotted on the same scale, one may say that the food production in 1983 was (approximately, in million tonnes) ...

A
80
B
130
C
105
D
Cannot be determined
E
NA
Solution:


If the fertilizer production in 1989 had been the same as that in 1988, its value for 1989 would have been 3.5x + k.
Hence total fertilizer production according to our values would have been (2.5x + k + 3.5x + k + 3.5x + k + 2x + k + 2x + k + 3.5x + k + 3.5x + k + x + k + x + k) = 22.5x + 9k. As per the given information 22.5x + k = 490 Value of x and k cannot be determined.
Q.No: 15
Test Name : CAT Paper 1993
Q1 - 5: Arrange sentences A, B, C and D between sentences 1 and 6 to form a logical sequence of six sentences.

1. I can think of no serious prose play that has survived the generation that gave it birth.
A. They are museum pieces.
B. They are revived now and then because a famous part tempts a leading actor, or a manager in want of a stop-gap thinks he will put on a play on which he has no loyalties to pay.
C. A few comedies have haphazardly traveled down a couple of centuries or so.
D. The audience laugh at their wit with politeness and at their farce with embarrassment.
6. They are not held nor taken out of themselves.

A
CDBA
B
CBAD
C
ABDC
D
BACD
Solution:
C. should be the first sentence as it states that the logic presented in 1. is not true. A. and D. talk about the qualities of a good actor. B. talks about the author’s own plays and 6. continues with his observation in B.
Q.No: 16
Test Name : CAT Paper 1993
Q51 – 90 : Choose the best alternative.

The number of votes not cast for the Praja Party increased by 25% in the National General Election over those not cast for it in the previous Assembly Polls, and the Praja Party lost by a majority twice as large as that by which it had won the Assembly Polls. If a total 2,60,000 people voted each time. How many voted for the Praja Party in the Assembly Elections.

A
1,10,000
B
1,50,000
C
1,40,000
D
1,20,000
Solution:
Q.No: 17
Test Name : CAT Paper 1993
Q151 to 154 : Study the graph below and answer the questions that follow.

In which year is the sales per rupee of expenditure the lowest?

A
1990
B
1991
C
1992
D
1993
Solution:
Q.No: 18
Test Name : CAT Paper 1993
Q151 to 154 : Study the graph below and answer the questions that follow.

In which year is sales per rupee of equity the highest?

A
1990
B
1991
C
1992
D
1994
Solution:
Q.No: 19
Test Name : CAT Paper 1994
Directions for questions 151 to 155: Answer the questions on the basis of the information given below.

Which of the following salts has greatest solubility?

A
Potassium Chlorate at 80°C.
B
Potassium Chloride at 35°C.
C
Potassium Nitrate at 39°C.
D
Sodium Chloride at 85°C.
Solution:
Q.No: 20
Test Name : CAT Paper 1994
Directions for questions 151 to 155: Answer the questions on the basis of the information given below.

Approximately, how many kg of Potassium Nitrate can be dissolved in 10 litres of water at 30°C?

A
0.04
B
0.4
C
4
D
0.35
Solution:
At 30oC, solubility of potassium nitrate is 0.38 kg./lt. Hence in 10 litres 3.8 kg.( ≈ 4 kg) of potassium nitrate can be dissolved.
Q.No: 21
Test Name : CAT Paper 1994
Directions for questions 151 to 155: Answer the questions on the basis of the information given below.

By what percentage is the solubility of Potassium Chlorate in water increased as the water is heated from 30°C to 80°C?.

A
100
B
200
C
250
D
300
Solution:
Q.No: 22
Test Name : CAT Paper 1994
Directions for questions 151 to 155: Answer the questions on the basis of the information given below.

If 1 mole of Potassium Chloride weighs 0.07456 kg, approximately. How many moles of Potassium Chloride can be dissolved in 100 litres of water at 36°C?

A
700
B
650
C
480
D
540
Solution:
Q.No: 23
Test Name : CAT Paper 1994
Directions for questions 151 to 155: Answer the questions on the basis of the information given below.

Which of the salts has greater change in solubility in kg / litre of water between 15°C and 25°C?

A
Potassium Chlorate
B
Potassium Nitrate
C
Sodium Chlorate
D
Sodium Nitrate
Solution:
From the graph it can be seen that between 15oC &25oC, solubility of sodium nitrate, potassium chloride, sodium chloride, is almost constant. It can clearly seen from graph that solubility of sodium chlorate is maximum.
Q.No: 24
Test Name : CAT Paper 1996
Direction for questions 166 to 170: Answer the questions based on the following graph.

Which month records the highest profit?

A
September
B
July
C
March
D
May
Solution:
By observation gap between the Cost and the Sales is the highest in September. Thus, the highest profit is recorded in September.
Q.No: 25
Test Name : CAT Paper 1996
Direction for questions 166 to 170: Answer the questions based on the following graph.

In which month is the total increase in the cost highest as compared to two months ago?

A
March
B
September
C
July
D
May
Solution:
By observation difference between the Cost in March and May is the highest. Thus, in May total increase in Cost is the highest as compared to two months ago.
Q.No: 26
Test Name : CAT Paper 1996
Direction for questions 166 to 170: Answer the questions based on the following graph.

In which month is the percentage increase in sales two months before, the highest?

A
March
B
September
C
July
D
May
Solution:
By observation difference between the Cost in March and May is the highest. Also, the Sales in March is less as compared to the following months. Thus, in May percentage increase in sales two months before the highest.
Q.No: 27
Test Name : CAT Paper 1996
Direction for questions 166 to 170: Answer the questions based on the following graph.

Which month has the highest profit per employee?

A
September
B
July
C
January
D
March
Solution:
By observation increase in the number of employees from January to March is the less than the increase in profit from January to March. Thus, profit per employee is the highest in March.
Q.No: 28
Test Name : CAT Paper 1996
Direction for questions 166 to 170: Answer the questions based on the following graph.

Assuming that no employees left the job, how many more people did the company take on in the given period?

A
4,600
B
5,000
C
5,800
D
6,400
Solution:
From January to November the number of employees that company takes = (16 – 11) × 1000 = 5000.
Q.No: 29
Test Name : CAT Paper 2003 (L)
DIRECTIONS for Questions 54 to 57: Answer the questions on the basis of the information given below.

The length of an infant is one of the measures of his/her development in the early stages of his/her life.The figure below shows the growth chart of four infants in the first five months of life.

After which month did Seeta's rate of growth start to decline?

A
Second month
B
Third month
C
Fourth month
D
Never
Solution:
It is evident from the graph that Seeta's growth rate decreased from third month as this is the first time the slope has decreased.
Q.No: 30
Test Name : CAT Paper 2003 (L)
DIRECTIONS for Questions 54 to 57: Answer the questions on the basis of the information given below.

The length of an infant is one of the measures of his/her development in the early stages of his/her life.The figure below shows the growth chart of four infants in the first five months of life.

Who grew at the fastest rate in the first two months of life?

A
Geeta
B
Seeta
C
Ram
D
Shyam
Solution:
Geeta grew at the fastest rate in the first two months (the slope of the line in this period is steepest for Geeta).
Q.No: 31
Test Name : CAT Paper 2003 (L)
DIRECTIONS for Questions 54 to 57: Answer the questions on the basis of the information given below.

The length of an infant is one of the measures of his/her development in the early stages of his/her life.The figure below shows the growth chart of four infants in the first five months of life.

The rate of growth during the third month was the lowest for

A
Geeta
B
Seeta
C
Ram
D
Shyam
Solution:
Geeta grew the lowest in the third month (during this period, the slope was least for Geeta).
Q.No: 32
Test Name : CAT Paper 2003 (L)
DIRECTIONS for Questions 54 to 57: Answer the questions on the basis of the information given below.

The length of an infant is one of the measures of his/her development in the early stages of his/her life.The figure below shows the growth chart of four infants in the first five months of life.

Among the four infants, who grew the least in the first five months of life?

A
Geeta
B
Seeta
C
Ram
D
Shyam
Solution:
Seeta increased by 7 cm on 50 cm and Shyam by 7 cm on 53 cm. Hence, Shyam grew least.
Q.No: 33
Test Name : CAT Paper 2003 (R)
Directions for questions 117 to 119: Answer the questions on the basis of the data presented in the figure below.

During 1996-2002, the number of commodities that exhibited a net overall increase and net overall decrease, respectively, were

A
3 and 3
B
2 and 4
C
4 and 2
D
5 and 1
Solution:
By observation, 4 commodities namely Chillies, Onion, Egg and Dal showed a net overall increase and the remaining two , namely Edible Oil and Rice showed a net overall decrease.
Q.No: 34
Test Name : CAT Paper 2003 (R)
Directions for questions 117 to 119: Answer the questions on the basis of the data presented in the figure below.

The number of commodities that experienced a price decline for two or more consecutive years is

A
2
B
3
C
4
D
5
Solution:
Except Edible Oil, all the other five commodities experienced a price decline for two or more consecutive years.
Q.No: 35
Test Name : CAT Paper 2003 (R)
Directions for questions 117 to 119: Answer the questions on the basis of the data presented in the figure below.

For which commodities did a price increase immediately follow a price decline only once in this period?

A
Rice, edible oil and dal
B
Egg and dal
C
Onion only
D
Egg and onion
Solution:
Egg and Onion shows a price rise immediately after a price decline only once in this period.
Solution:


Solution:


Solution:


Solution:


Solution:


As it is seen the highest % increase is for D in Feb. viz.25%.


Solution:


The greatest absolute change in the market value for any share recorded is 20 i.e. for share “A” for month of March = 115 – 95 = 20.


Solution:


The greatest percentage change in any share was recorded for share D for the month of February viz. 25%.


Solution:




Solution:


Again referring to the above table it can be seen that the individual’s highest gain is Rs.10.


Solution:


If you see, for each year from 1984 to 1988 sum of food and fertilizers = 8.5x + 2k
Hence, it is constant for 5 years.


Solution:


Fertilizers production in 1988 = 3.5x + k
Food production in 1988 = 5x + k
As per the given information
8.5x + 2 k = 170
Value of x and k cannot be determined.


Solution:


The graph of food production shows an alternate increase and decrease in every 1 to 2 years. Hence looking at the trend of the graph in 1990 and 1991, it can be expected that the graph will go down in 1992.


Solution:


It is clear that the graph for fertilizer production remains constant for two consecutive years. But it breaks this trend in 1989 as it has a value lower than its value in 1988.


Solution:


If the fertilizer production in 1989 had been the same as that in 1988, its value for 1989 would have been 3.5x + k.
Hence total fertilizer production according to our values would have been (2.5x + k + 3.5x + k + 3.5x + k + 2x + k + 2x + k + 3.5x + k + 3.5x + k + x + k + x + k) = 22.5x + 9k. As per the given information 22.5x + k = 490 Value of x and k cannot be determined.


Solution:
C. should be the first sentence as it states that the logic presented in 1. is not true. A. and D. talk about the qualities of a good actor. B. talks about the author’s own plays and 6. continues with his observation in B.


Solution:


Solution:


Solution:


Solution:


Solution:
At 30oC, solubility of potassium nitrate is 0.38 kg./lt. Hence in 10 litres 3.8 kg.( ≈ 4 kg) of potassium nitrate can be dissolved.


Solution:


Solution:


Solution:
From the graph it can be seen that between 15oC &25oC, solubility of sodium nitrate, potassium chloride, sodium chloride, is almost constant. It can clearly seen from graph that solubility of sodium chlorate is maximum.


Solution:
By observation gap between the Cost and the Sales is the highest in September. Thus, the highest profit is recorded in September.


Solution:
By observation difference between the Cost in March and May is the highest. Thus, in May total increase in Cost is the highest as compared to two months ago.


Solution:
By observation difference between the Cost in March and May is the highest. Also, the Sales in March is less as compared to the following months. Thus, in May percentage increase in sales two months before the highest.


Solution:
By observation increase in the number of employees from January to March is the less than the increase in profit from January to March. Thus, profit per employee is the highest in March.


Solution:
From January to November the number of employees that company takes = (16 – 11) × 1000 = 5000.


Solution:
It is evident from the graph that Seeta's growth rate decreased from third month as this is the first time the slope has decreased.


Solution:
Geeta grew at the fastest rate in the first two months (the slope of the line in this period is steepest for Geeta).


Solution:
Geeta grew the lowest in the third month (during this period, the slope was least for Geeta).


Solution:
Seeta increased by 7 cm on 50 cm and Shyam by 7 cm on 53 cm. Hence, Shyam grew least.


Solution:
By observation, 4 commodities namely Chillies, Onion, Egg and Dal showed a net overall increase and the remaining two , namely Edible Oil and Rice showed a net overall decrease.


Solution:
Except Edible Oil, all the other five commodities experienced a price decline for two or more consecutive years.


Solution:
Egg and Onion shows a price rise immediately after a price decline only once in this period.


© 2025 CL Educate Ltd. All rights reserved.