Back Home
Persistent Timer

Proportion

Q.No: 1
Test Name : CAT Paper 2004
Answer the questions independently of each other.


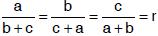
If then r cannot take any value except.

A
B
-1
C
D
Solution:
Q.No: 2
Test Name : CAT Paper 1990

Albert, David, Jerome and Tommy were plucking mangoes in a grove to earn some pocket money during the summer holidays. Their earnings were directly related to the number of mangoes plucked and had the following relationship:
Jerome got less money than Tommy. Jerome and Tommy together got the same amount at Albert and David taken together. Albert and Tommy together got less than David and Jerome taken together.
Who earned the most pocket money? Who plucked the least number of mangoes?

A
David, Jerome
B
David, Albert
C
Jerome, Tommy
D
Jerome, Albert
Solution:
Solution:


Solution:


© 2025 CL Educate Ltd. All rights reserved.