Back Home
Persistent Timer

Inequality

Q.No: 1
Test Name : CAT Paper 2001
Directions for questions 1 to 37: Answer the questions independently.

If x > 5 and y < –1, then which of the following statements is true?

A
(x + 4y) > 1
B
x > –4y
C
–4x < 5y
D
None of these
Solution:
x > 5, y < –1
Use answer choices.
Take x = 6, y = –6.
We see none of the statements (a), (b) and (c) is true.
Hence the correct option is (d).
Q.No: 2
Test Name : CAT Paper 2001
Directions for questions 1 to 37: Answer the questions independently.

x and y are real numbers satisfying the conditions 2 < x < 3 and – 8 < y < –7. Which of the following expressions will have the least value?

A
x2y
B
xy2
C
5xy
D
None of these
Solution:
Q.No: 3
Test Name : CAT Paper 2003 (R)
Directions for questions 60 to 93: Answer the following questions independently.

A real number x satisfying for every positive integer n, is best described by

A
1 < x < 4
B
1 < x ≤ 3
C
0 < x ≤ 4
D
1 ≤ x ≤ 3
Solution:
Q.No: 4
Test Name : CAT Paper 2003 (R)
Directions for questions 60 to 93: Answer the following questions independently.

A
20 < x < 54
B
23 < x < 58
C
25 < x < 64
D
28 < x < 60
Solution:
Q.No: 5
Test Name : CAT Paper 2003 (R)
Directions for questions 60 to 93: Answer the following questions independently.

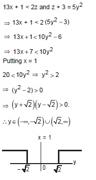
If 13x + 1 < 2z and z + 3 = 5y2, then

A
x is necessarily less than y
B
x is necessarily greater than y
C
x is necessarily equal to y
D
None of the above is necessarily true
Solution:
Q.No: 6
Test Name : CAT Paper 2003 (R)
Directions for questions 60 to 93: Answer the following questions independently.

If | b | ≥ 1 and x = − | a | b , then which one of the following is necessarily true?

A
a – xb < 0
B
a – xb ≥ 0
C
a – xb > 0
D
a – xb ≤ 0
Solution:
Q.No: 7
Test Name : CAT 2017 Actual Paper Slot 1

For how many integers n, will the inequality (n – 5) (n – 10) – 3(n – 2) ≤ 0 be satisfied?

Solution:
Q.No: 8
Test Name : CAT 2017 Actual Paper Slot 2


Solution:
Q.No: 9
Test Name : CAT 2017 Actual Paper Slot 2

Let f(x) = 2x – 5 and g(x) = 7 – 2x. Then |f(x) + g(x)|
= |f(x)| + |g(x)| if and only if

A
B
C
D
Solution:
Q.No: 10
Test Name : CAT 2018 Actual Paper Slot 2

The smallest integer n such that n3 - 11n2 + 32n - 28 > 0 is

Solution:
Q.No: 11
Test Name : CAT 2018 Actual Paper Slot 2

If a and b are integers such that 2x2 −ax + 2 > 0 and x2 −bx + 8 ≥ 0 for all real numbers x, then the largest possible value of 2a−6b is

Solution:
Q.No: 12
Test Name : CAT Actual Paper 2020 Slot-2


Solution:
Q.No: 13
Test Name : CAT Actual Paper 2020 Slot-2

If x and y are non-negative integers such that x + 9 = z, y + 1 = z and x + y < z + 5, then the maximum possible value of 2x + y equals

Solution:
Q.No: 14
Test Name : CAT Actual Paper 2021 Slot-1


A
x < –5 or –2 < x < 3
B
–5 < x < –2 or 3 < x < 9
C
–2 < x < 3 or x > 9
D
x < –5 or 3 < x < 9
Solution:
Q.No: 15
Test Name : CAT Actual Paper 2021 Slot-1

The number of integers n that satisfy the inequalities |n – 60| < |n – 100| < |n – 20| is

A
19
B
18
C
20
D
21
Solution:
Q.No: 16
Test Name : CAT Actual Paper 2021 Slot-2


Solution:
Q.No: 17
Test Name : CAT Actual Paper 2021 Slot-3


Solution:
Q.No: 18
Test Name : CAT Actual Paper 2023 Slot 2


A
If y > 10, then –x > y
B
If x < 0, then –x < y
C
If y < 0, then –x < y
D
Solution:
Solution:
x > 5, y < –1
Use answer choices.
Take x = 6, y = –6.
We see none of the statements (a), (b) and (c) is true.
Hence the correct option is (d).


Solution:


Solution:


Solution:


Solution:


Solution:


Solution:


Solution:


Solution:


Solution:


Solution:


Solution:


Solution:


Solution:


Solution:


Solution:


Solution:


Solution:


© 2025 CL Educate Ltd. All rights reserved.