Back Home
Persistent Timer

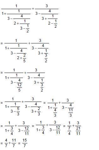
Number System

Q.No: 1
Test Name : CAT Paper 2004

On January 1, 2004 two new societies s1 and s2 are formed, each having n members. On the first day of each subsequent month, s1 adds b members while s2 multiples its current numbers by a constant factor r. Both the societies have the same number of members on July 2, 2004. If b = 10.5n, what is the value of r?

A
2.0
B
1.9
C
1.8
D
1.7
Solution:
Q.No: 2
Test Name : CAT Paper 2004

Suppose n is an integer such that the sum of digits on n is 2, and 1010 < n < 1011. The number of different values of n is

A
11
B
10
C
9
D
8
Solution:
Q.No: 3
Test Name : CAT Paper 2004

The reminder, when (1523 + 2323) is divided by 19, is

A
4
B
15
C
0
D
18
Solution:
Q.No: 4
Test Name : CAT Paper 2005

If , then x when divided by 70 leaves a remainder of

A
0
B
1
C
69
D
35
Solution:
Q.No: 5
Test Name : CAT Paper 2005


If , then

A
B
C
D
R > 1.0
Solution:
Q.No: 6
Test Name : CAT Paper 2005

Let n! = 1 × 2 × 3 × ... × n for integer . If p = 1! + (2 × 2!) + (3 × 3!) + ... + (10 × 10!), then p + 2 when divided by 11!, Leaves a remainder of

A
10
B
0
C
7
D
1
Solution:
Q.No: 7
Test Name : CAT Paper 2005

The digits of a three-digit number A are written in the reverse order to form another three-digit number B. If B > A and B-A is perfectly divisible by 7, then which of the following is necessarily true?

A
100 < A < 299
B
106 < A < 305
C
112 < A < 311
D
118< A < 317
Solution:
Q.No: 8
Test Name : CAT Paper 2005

Let S be the set of five-digit numbers formed by digits 1, 2, 3, 4 and 5, using each digit exactly once such that exactly two odd position are occupied by odd digits. What is the sum of the digits in the rightmost position of the numbers in S?

A
228
B
216
C
294
D
192
Solution:
Q.No: 9
Test Name : CAT Paper 2005

The rightmost non-zero digits of the number 302720 is

A
1
B
3
C
7
D
9
Solution:
Q.No: 10
Test Name : CAT Paper 2005

Four points A, B, C and D lie on a straight line in the X-Y plane, such that AB = BC = CD, and the length of AB is 1 metre. An ant at A wants to reach a sugar particle at D. But there are insect repellents kept at points B and C. the ant would not go within one metre of any insect repellent. The minimum distance in metres the ant must traverse to reach the sugar particle is

A
B
C
D
5
Solution:
Q.No: 11
Test Name : CAT Paper 2005

For a positive integer n, let pn denote the product of the digits of n and sn denote the sum of the digits of n. The number of integers between 10 and 1000 for which pn + sn = n is

A
81
B
16
C
18
D
9
Solution:
Q.No: 12
Test Name : CAT Paper 2005

Let S be a set of positive integers such that every element n of S satisfies the conditions
I.
II. every digit in n is odd
Then how many elements of S are divisible by 3?

A
9
B
10
C
11
D
12
Solution:
Q.No: 13
Test Name : CAT Paper 2007

Consider the set S = {2, 3, 4, ……, 2n + 1}, where 'n' is a positive integer larger than 2007. Define X as the average of the odd integers in S and Y as the average of the even integers in S. What is the value of X – Y?

A
0
B
1
C
D
E
2008
Solution:
Q.No: 14
Test Name : CAT Paper 2007

How many pairs of positive integers m, n satisfy
,
where 'n' is an odd integer less than 60?

A
6
B
4
C
7
D
5
E
3
Solution:
Q.No: 15
Test Name : CAT Paper 2007

Let S be the set of all pairs (i, j) where, 1≤ i < j

≤ n and

n ≥ 4. Any two distinct members of S are called “friends” if they have one constituent of the pairs in common and “enemies” otherwise. For example, if

n = 4, then S = {(1, 2), (1, 3), (1, 4), (2, 3), (2, 4), (3, 4)}. Here, (1, 2) and (1, 3) are friends, (1, 2) and (2, 3) are also friends, but (1, 4) and (2, 3) are enemies.




For general ‘n’, how many enemies will each member of S have?

A
n −- 3
B
C
2n-7
D
E
Solution:
Q.No: 16
Test Name : CAT Paper 2007

Let S be the set of all pairs (i, j) where, 1≤ i < j

≤ n and

n ≥ 4. Any two distinct members of S are called “friends” if they have one constituent of the pairs in common and “enemies” otherwise. For example, if

n = 4, then S = {(1, 2), (1, 3), (1, 4), (2, 3), (2, 4), (3, 4)}. Here, (1, 2) and (1, 3) are friends, (1, 2) and (2, 3) are also friends, but (1, 4) and (2, 3) are enemies.




For general ‘n’, consider any two members of S that are friends. How many other members of S will be common friends of both these members?

A
B
2n-6
C
D
n-2
E
Solution:
Q.No: 17
Test Name : CAT Paper 2007

Consider four-digit numbers for which the first two digits are equal and the last two digits are also equal. How many such numbers are perfect squares?

A
3
B
2
C
4
D
0
E
1
Solution:
Q.No: 18
Test Name : CAT Paper 2008

What are the last two digits of 72008?

A
21
B
61
C
01
D
41
E
81
Solution:
Q.No: 19
Test Name : CAT Paper 2008

Suppose, the seed of any positive integer n is defined as follows:
seed(n) = n, if n < 10
= seed(s(n)), otherwise,
where s(n) indicates the sum of digits of n. For example,
seed(7) = 7, seed(248) = seed(2 + 4 + 8) = seed(14) = seed (1 + 4) = seed (5) = 5 etc. How many positive integers n, such that n < 500, will have seed (n) = 9?

A
39
B
72
C
81
D
108
E
55
Solution:
Q.No: 20
Test Name : CAT Paper 2008

Three consecutive positive integers are raised to the first, second and third powers respectively and then added. The sum so obtained is perfect square whose square root equals the total of the three original integers. Which of the following best describes the minimum, say m, of these three integers?

A
1 ≤ m ≤ 3
B
4 ≤ m ≤ 6
C
7 ≤ m ≤ 9
D
10 ≤ m ≤ 12
E
13 ≤ m ≤ 15
Solution:
Q.No: 21
Test Name : CAT Paper 1991
Q 61 to 100 : Choose the best answer choice from those provided

273 − 272 − 271 is the same as

A
269
B
270
C
271
D
272
E
NA
Solution:
Q.No: 22
Test Name : CAT Paper 1991
Q 61 to 100 : Choose the best answer choice from those provided

The number of integers n satisfying −n + 2 ≥ 0 and 2n ≥ 4 is

A
0
B
1
C
2
D
3
E
NA
Solution:
The two equations can be simplified into n ≤ 2 and n ≥ 2. The only value that satisfies both these conditions is n = 2.
Q.No: 23
Test Name : CAT Paper 1991
Q 61 to 100 : Choose the best answer choice from those provided

A square piece of cardboard of sides ten inches is taken and four equal squares pieces are removed at the corners, such that the side of this square piece is also an integer value. The sides are then turned up to form an open box. Then the maximum volume such a box can have is

A
72 cubic inches.
B
24.074 cubic inches.
C
2000/27 cubic inches
D
64 cubic inches.
E
NA
Solution:
Q.No: 24
Test Name : CAT Paper 1991
Q 61 to 100 : Choose the best answer choice from those provided

x, y and z are three positive integers such that x > y > z. Which of the following is closest to the product xyz?

A
(x − 1)yz
B
x(y − 1)z
C
xy(z − 1)
D
x(y + 1)z
E
NA
Solution:
Q.No: 25
Test Name : CAT Paper 1991
Q 61 to 100 : Choose the best answer choice from those provided

What is the greatest power of 5 which can divide 80! exactly.

A
16
B
20
C
19
D
None of these
E
NA
Solution:
Q.No: 26
Test Name : CAT Paper 1991
Q 61 to 100 : Choose the best answer choice from those provided

A third standard teacher gave a simple multiplication exercise to the kids. But one kid reversed the digits of both the numbers and carried out the multiplication and found that the product was exactly the same as the one expected by the teacher. Only one of the following pairs of numbers will fit in the description of the exercise. Which one is that?

A
14, 22
B
13, 62
C
19, 33
D
42, 28
E
NA
Solution:
The last digits obtained by multiplying the units place digits should be the same as that obtained by multiplying the tens place digits.
Hence, option (b) is the correct answer.
Q.No: 27
Test Name : CAT Paper 1991
Q 61 to 100 : Choose the best answer choice from those provided

Find the minimum integral value of n such that the division 55n/124 leaves no remainder.

A
124
B
123
C
31
D
62
E
NA
Solution:
As 55 does not have factor common with 124, for 55n to be exactly divisible by 124, n should be a multiple of 124.
Hence, the minimum value that n can have is 124 itself.
Q.No: 28
Test Name : CAT Paper 1991
Q 61 to 100 : Choose the best answer choice from those provided

Let k be a positive integer such that k + 4 is divisible by 7. Then the smallest positive integer n, greater than 2, such that k + 2n is divisible by 7 equals

A
9
B
7
C
5
D
3
E
NA
Solution:
Q.No: 29
Test Name : CAT Paper 1991
Q 61 to 100 : Choose the best answer choice from those provided

A calculator has two memory buttons, A and B. Value 1 is initially stored in both memory locations. The following sequence of steps is carried out five times:
add 1 to B
multiply A to B
store the result in A
What is the value stored in memory location A after this procedure?

A
120
B
450
C
720
D
250
E
NA
Solution:
Q.No: 30
Test Name : CAT Paper 1991
Q 61 to 100 : Choose the best answer choice from those provided

If x is a positive integer such that 2x + 12 is perfectly divisible by x, then the number of possible values of x is

A
2
B
5
C
6
D
12
E
NA
Solution:
If (2x + 12) is perfectly divisible by x, then (2x + 12)/x has to be an integer as x is an integer. Now if we divide, the expression simplifies to (2 + 12/x). The only way in which this expression would be an integer is when 12/x is an integer or if 12 is perfectly divisible by x. This is possible if x takes either of these values : 1, 2, 3, 4, 6, 12. Hence, the answer is 6 values.
Q.No: 31
Test Name : CAT Paper 1991
Q 61 to 100 : Choose the best answer choice from those provided

A positive integer is said to be a prime number if it is not divisible by any positive integer other than itself and 1. Let p be a prime number greater than 5. Then (p2 − 1) is

A
never divisible by 6
B
always divisible by 6, and may or may not be divisible by 12.
C
always divisible by 12, and may or may not be divisible by 24.
D
always divisible by 24.
E
NA
Solution:
Q.No: 32
Test Name : CAT Paper 1991
Q 61 to 100 : Choose the best answer choice from those provided

To decide whether a n digits number is divisible by 7, we can define a process by which its magnitude is reduced as follows: (i1, i2, i3, … , are the digits of the number, starting from the most significant digit). i1 i2 ……. in ⇒ i1. 3n-1 + 12 . 3n-2 + ……… + in . 30.
E.g. 259 ⇒ 2.32 + 5.31 + 9.30 = 18 + 15 + 9 = 42

Ultimately the resulting number will be seven after repeating the above process a certain number of times. After how many such stages, does the number 203 reduce to 7?

A
2
B
3
C
4
D
1
E
NA
Solution:
Q.No: 33
Test Name : CAT Paper 1991
Q 61 to 100 : Choose the best answer choice from those provided

If 8 + 12 = 2, 7 + 14 = 3, then 10 + 18 = ?

A
10
B
4
C
6
D
18
E
NA
Solution:
Here logic is:
A + B = (A + B) – 18
Hence, 10 + 18 = {(10 + 18) – 18} = 10.
Q.No: 34
Test Name : CAT Paper 1993
Q58 to 100 : Choose the appropriate answer choice.

An intelligence agency decides on a code of 2 digits selected from 0, 1, 2, .... , 9. But the slip on which the code is hand–written allows confusion between top and bottom, because these are indistinguishable. Thus, for example, the code 91 could be confused with 16. How many codes are there such that there is no possibility of any confusion?

A
25
B
75
C
80
D
None of these
Solution:
Total number of two digit codes that can be formed is 10 × 10 = 100
Out of them 0,1,6,8,9 can create confusion.
Using these five digits, total number of two digit numbers that can be made is 5 × 5 = 25.
But out of these 25 numbers 00,11,88,69 and 96 will not make any confusion.
Hence, the required answer is 100 – 25 + 5 = 80.
Q.No: 35
Test Name : CAT Paper 1993
Q58 to 100 : Choose the appropriate answer choice.

Suppose one wishes to find distinct positive integers x, y such that (x + y)/ xy is also a positive integer. Identify the correct alternative.

A
This is never possible.
B
This is possible and the pair (x, y) satisfying the stated condition is unique.
C
This is possible and there exist more than one but a finite number of ways of choosing the pair (x, y).
D
This is possible and the pair (x, y) can be chosen in infinite ways.
Solution:
Q.No: 36
Test Name : CAT Paper 1993
Q58 to 100 : Choose the appropriate answer choice.

Given odd positive integers x, y and z, which of the following is not necessarily true?

A
x2 y2 z2 is odd
B
3(x2 + y3)z2 is even.
C
5x + y + z4 is odd
D
z2 (x4 + y4)/2 is even
Solution:
Q.No: 37
Test Name : CAT Paper 1993
Q58 to 100 : Choose the appropriate answer choice.

139 persons have signed up for an elimination tournament. All players are to be paired up for the first round, but because 139 is an odd number one player gets a bye, which promotes him to the second round, without actually playing in the first round. The pairing continues on the next round, with a bye to any player left over. If the schedule is planned so that a minimum number of matches is required to determine the champion, the number of matches which must be played is

A
136
B
137
C
138
D
139
Solution:
There are 139 players in all. We want to determine 1 champion among them. So all except the Champion should lose. A player can lose only once and since each match produces only one loser, to produce 138 losers, there should be 138 matches that should be played.
Q.No: 38
Test Name : CAT Paper 1993
Q58 to 100 : Choose the appropriate answer choice.

The number of positive integers not greater than 100, which are not divisible by 2, 3 or 5 is

A
26
B
18
C
31
D
None
Solution:
Q.No: 39
Test Name : CAT Paper 1993

Let x < 0, 0 < y < 1, z > 1. Which of the following may be false?

A
(x2 – z2) has to be positive.
B
yz can be less than one.
C
xy can never be zero.
D
(y2 – z2) is always negative.
Solution:
Q.No: 40
Test Name : CAT Paper 1993

A young girl counted in the following way on the fingers of her left hand. She started calling the thumb 1, the index finger 2, middle finger 3, ring finger 4, little finger 5, then reversed direction, calling the ring finger 6, middle finger 7, index finger 8, thumb 9, then back to the index finger for 10, middle finger for 11, and so on. She counted up to 1994. She ended on her

A
thumb
B
index finger
C
middle finger
D
ring finger
Solution:
She counted thumb on 1, 9, 17, 25 and so on. So it forms an arithmetic progression.
She counted thumb closest of 1994 on (1 + 1992 (multiple of 8)) = 1993
Hence, she would have counted 1994 on the index finger
Q.No: 41
Test Name : CAT Paper 1993

The product of all integers from 1 to 100 will have the following numbers of zeros at the end.

A
20
B
24
C
19
D
22
Solution:
Q.No: 42
Test Name : CAT Paper 1993
Q101 to 150: Each passage in this part is followed by questions based upon its contents. Read the passage carefully and choose the best answer for each question.

To teach is to create a space in which obedience to truth is practiced. Space may sound a vague, poetic metaphor until we realize that it describes experiences of everyday life. We know what it means to be in a green and open field; we know what it means to be on a crowded rush hour bus. These experiences of physical space have parallels in our relations with others. On our jobs we know what it is to be pressed and crowded, our working space diminished by the urgency of deadlines and competitiveness of colleagues. But then there are times when deadlines disappear and colleagues cooperate, when everyone has a space to move, invent and produce with energy and enthusiasm. With family and friends, we know how it feels to have unreasonable demands placed upon us, to be boxed in by the expectations of those nearest to us. But then there are times when we feel accepted for who we are (or forgiven for who we are not), times when a spouse or a child or a friend gives us the space, both to be and to become.

Similar experiences of crowding and space are found in education. To sit in a class where the teacher stuffs our minds with information, organizes it with finality, insists on having the answers while being utterly uninterested in our views, and focus us into a grim competition for grades – to sit in such a class is to experience a lack of space for learning. But to study with a teacher, who not only speaks but also listens, who not only answers but asks questions and welcomes our insights, who provides information and theories that do not close doors but open new ones, who encourages students to help each other learn – to study with such a teacher is to know the power of a learning space.

A learning space has three essential dimensions: openness, boundaries and an air of hospitality. To create open learning space is to remove the impediments to learning that we find around and within us; we often create them ourselves to evade the challenge of truth and transformation. One source of such impediments is our fear of appearing ignorant to others or to ourselves. The oneness of a space is created by the firmness of its boundaries. A learning space cannot extend indefinitely; if it did, it would not be a structure for learning but an invitation for confusion and chaos. When space boundaries are violated, the quality of space suffers. The teacher who wants to create an open learning space must define and defend its boundaries with care. Because the pursuit of truth can be painful and discomforting, the learning space must be hospitable. Hospitable means receiving each other, our struggles, our new-born ideas with openness and care. It means creating an ethos in which the community of truth can form and the pain of its transformation be borne. A learning space needs to be hospitable not to make learning painless, but to make painful things possible, things without which no learning can occur, things like exposing ignorance, testing tentative hypotheses, challenging false or partial information, and mutual criticism of thought.

The task of creating learning space with qualities of openness, boundaries and hospitality can be approached at several levels. The most basic level is the physical arrangement of the classroom, Consider the traditional classroom setting with row of chairs facing the lectern where learning space is confined to the narrow alley of attention between each student and teacher. In this space, there is no community of truth, hospitality of room for students to relate to the thoughts of each other. Contrast it with the chairs placed in a circular arrangement creating an open space within which learners can interconnect. At another level, the teacher can create conceptual space-space with words in two ways. One is through assigned reading; the other is through lecturing, assigned reading, not in the form of speed reading several hundred pages but contemplative reading which opens, not fills, our learning space. A teacher can also create a learning space by means of lectures. By providing critical information and a framework of interpretation, a lecturer can lay down boundaries within which learning occurs.

We also create learning space through the kind of speech we utter and the silence from which true speech emanates. Speech is a precious gift and a vital tool, but too often our speaking is an evasion of truth, a way of buttressing our self-serving reconstructions of reality. Silence must therefore be an integral part of learning space. In silence, more than in arguments, our mind made world falls away and we are open to the truth that seeks us. Words often divide us, but silence can unite. Finally teachers must also create emotional space in the class-room, space that allows feelings to arise and be dealt with because submerged feelings can undermine learning. In an emotionally honest learning space, one created by a teacher who does not fear dealing with feelings, the community of truth can flourish between us and we can flourish in it.

An emotionally honest learning space can only be created by

A
a teacher committed to joining the community of truth.
B
a teacher who is not afraid of confronting feelings.
C
a teacher who takes care not to undermine the learning process.
D
a teacher who worships critical silence.
Solution:
An emotionally honest learning space is created by a teacher who is not afraid of dealing with feelings.
Q.No: 43
Test Name : CAT Paper 1993
Q101 to 150: Each passage in this part is followed by questions based upon its contents. Read the passage carefully and choose the best answer for each question.

To teach is to create a space in which obedience to truth is practiced. Space may sound a vague, poetic metaphor until we realize that it describes experiences of everyday life. We know what it means to be in a green and open field; we know what it means to be on a crowded rush hour bus. These experiences of physical space have parallels in our relations with others. On our jobs we know what it is to be pressed and crowded, our working space diminished by the urgency of deadlines and competitiveness of colleagues. But then there are times when deadlines disappear and colleagues cooperate, when everyone has a space to move, invent and produce with energy and enthusiasm. With family and friends, we know how it feels to have unreasonable demands placed upon us, to be boxed in by the expectations of those nearest to us. But then there are times when we feel accepted for who we are (or forgiven for who we are not), times when a spouse or a child or a friend gives us the space, both to be and to become.

Similar experiences of crowding and space are found in education. To sit in a class where the teacher stuffs our minds with information, organizes it with finality, insists on having the answers while being utterly uninterested in our views, and focus us into a grim competition for grades – to sit in such a class is to experience a lack of space for learning. But to study with a teacher, who not only speaks but also listens, who not only answers but asks questions and welcomes our insights, who provides information and theories that do not close doors but open new ones, who encourages students to help each other learn – to study with such a teacher is to know the power of a learning space.

A learning space has three essential dimensions: openness, boundaries and an air of hospitality. To create open learning space is to remove the impediments to learning that we find around and within us; we often create them ourselves to evade the challenge of truth and transformation. One source of such impediments is our fear of appearing ignorant to others or to ourselves. The oneness of a space is created by the firmness of its boundaries. A learning space cannot extend indefinitely; if it did, it would not be a structure for learning but an invitation for confusion and chaos. When space boundaries are violated, the quality of space suffers. The teacher who wants to create an open learning space must define and defend its boundaries with care. Because the pursuit of truth can be painful and discomforting, the learning space must be hospitable. Hospitable means receiving each other, our struggles, our new-born ideas with openness and care. It means creating an ethos in which the community of truth can form and the pain of its transformation be borne. A learning space needs to be hospitable not to make learning painless, but to make painful things possible, things without which no learning can occur, things like exposing ignorance, testing tentative hypotheses, challenging false or partial information, and mutual criticism of thought.

The task of creating learning space with qualities of openness, boundaries and hospitality can be approached at several levels. The most basic level is the physical arrangement of the classroom, Consider the traditional classroom setting with row of chairs facing the lectern where learning space is confined to the narrow alley of attention between each student and teacher. In this space, there is no community of truth, hospitality of room for students to relate to the thoughts of each other. Contrast it with the chairs placed in a circular arrangement creating an open space within which learners can interconnect. At another level, the teacher can create conceptual space-space with words in two ways. One is through assigned reading; the other is through lecturing, assigned reading, not in the form of speed reading several hundred pages but contemplative reading which opens, not fills, our learning space. A teacher can also create a learning space by means of lectures. By providing critical information and a framework of interpretation, a lecturer can lay down boundaries within which learning occurs.

We also create learning space through the kind of speech we utter and the silence from which true speech emanates. Speech is a precious gift and a vital tool, but too often our speaking is an evasion of truth, a way of buttressing our self-serving reconstructions of reality. Silence must therefore be an integral part of learning space. In silence, more than in arguments, our mind made world falls away and we are open to the truth that seeks us. Words often divide us, but silence can unite. Finally teachers must also create emotional space in the class-room, space that allows feelings to arise and be dealt with because submerged feelings can undermine learning. In an emotionally honest learning space, one created by a teacher who does not fear dealing with feelings, the community of truth can flourish between us and we can flourish in it.

Conceptual space with words can be created by

A
assigned reading and lecturing.
B
speed reading and written comprehension.
C
gentle persuasion and deliberate action.
D
creative extrapolation and illustrations.
Solution:
Assigned reading and lecturing can create a conceptual space.
Q.No: 44
Test Name : CAT Paper 1993
Q101 to 150: Each passage in this part is followed by questions based upon its contents. Read the passage carefully and choose the best answer for each question.

Management education gained new academic stature within US Universities and greater respect from outside during the 1960’s and 1970’s. Some observers attribute the competitive superiority of US corporations to the quality of business education. In 1978, a management professor, Herbert A. Simon of Carnegie Mellon University, won the Nobel Prize in economics for his work in decision theory. And the popularity of business education continued to grow, since 1960, the number of master’s degrees awarded annually has grown from under 5000 to over 50,000 in the mid 1980’s as the MBA has become known as ‘the passport to the good life’.

By the 1980’s, however, US business schools faced critics who charged that learning had little relevance to real business problems. Some went so far as to blame business schools for the decline in US competitiveness.

Amidst the criticisms, four distinct arguments may be discerned. The first is that business schools must be either unnecessary or deleterious because Japan does so well without them. Underlying this argument is the idea that management ability cannot be taught, one is either born with it or must acquire it over years of practical experience. A second argument is that business schools are overly academic and theoretical. They teach quantitative models that have little application to real world problems. Third, they give inadequate attention to shop floor issues, to production processes and to management resources. Finally, it is argued that the encourage undesirable attitudes in students, such as placing value on the short term and ‘bottom line’ targets, while neglecting longer term development criteria. In summary, some business executives complain that MBAs are incapable of handing day to day operational decisions, unable to communicate and to motivate people, and unwillingly to accept responsibility for following through on implementation plans. We shall analyze these criticisms after having reviewed experiences in other countries.

In contrast to the expansion and development of business education in the United States and more recently in Europe, Japanese business schools graduate no more than two hundred MBAs each year. The Keio Business School (KBS) was the only graduate school of management in the entire country until the mid 1970’s and it still boasts the only two year masters programme. The absence of business schools in Japan would appear in contradiction with the high priority placed upon learning by its Confucian culture. Confucian colleges taught administrative skills as early as 1630 and Japan wholeheartedly accepted Western learning following the Meiji restoration of 1868 when hundreds of students were dispatched to universities in US, Germany, England and France to learn the secrets of western technology and modernization. Moreover, the Japanese educational system is highly developed and intensely competitive and can be credited for raising the literary and mathematical abilities of the Japanese to the highest level in the world.

Until recently, Japan corporations have not been interested in using either local or foreign business schools for the development of their future executives. Their in-company training programs have sought the socialization of newcomers, the younger the better. The training is highly specific and those who receive it have neither the capacity nor the incentive to quit. The prevailing belief, says Imai, ‘is a management should be born out of experience and many years of effort and not learnt from educational institutions.’ A 1960 survey of Japanese senior executives confirmed that a majority (54%) believed that managerial capabilities can be attained only on the job and not in universities.

However, this view seems to be changing: the same survey revealed that even as early as 1960. 37% of senior executives felt that the universities should teach integrated professional management. In the 1980’s a combination of increased competitive pressures and greater multi-nationalisation of Japanese business are making it difficult for many companies to rely solely upon internally trained managers. This has led to a rapid growth of local business programmes and a greater use of American MBA programmes. In 1982-83, the Japanese comprised the largest single group of foreign students at Wharton, where they not only learnt the latest techniques of financial analysis, but also developed worldwide contacts through their classmates and became Americanized, something highly useful in future negotiations. The Japanese, then do not ‘do without’ business schools, as is sometimes contended. But the process of selecting and orienting new graduates, even MBAs, into corporations is radically different than in the US. Rather than being placed in highly paying staff positions, new Japanese recruits are assigned responsibility for operational and even menial tasks. Success is based upon Japan’s system of highly competitive recruitment and intensive in-company management development, which in turn are grounded in its tradition of universal and rigorous academic education, life-long employment and strong group identification.

The harmony among these traditional elements has made Japanese industry highly productive and given corporate leadership a long term view. It is true that this has been achieved without much attention to university business education, but extraordinary attention has been devoted to the development of managerial skills, both within the company and through participation in programmes sponsored by the Productivity Center and other similar organizations.

The author argues that the Japanese system

A
is better than the American system.
B
Is highly productive and gives corporate leadership a long term view as a result of its strong traditions.
C
is slowly becoming Americanized.
D
succeeds without business schools, where as the US system fails because of it.
Solution:
The author states that the harmony among these traditional elements has made Japanese industry highly productive and given corporate leadership a long term view.
Q.No: 45
Test Name : CAT Paper 1993
Q101 to 150: Each passage in this part is followed by questions based upon its contents. Read the passage carefully and choose the best answer for each question.

Management education gained new academic stature within US Universities and greater respect from outside during the 1960’s and 1970’s. Some observers attribute the competitive superiority of US corporations to the quality of business education. In 1978, a management professor, Herbert A. Simon of Carnegie Mellon University, won the Nobel Prize in economics for his work in decision theory. And the popularity of business education continued to grow, since 1960, the number of master’s degrees awarded annually has grown from under 5000 to over 50,000 in the mid 1980’s as the MBA has become known as ‘the passport to the good life’.

By the 1980’s, however, US business schools faced critics who charged that learning had little relevance to real business problems. Some went so far as to blame business schools for the decline in US competitiveness.

Amidst the criticisms, four distinct arguments may be discerned. The first is that business schools must be either unnecessary or deleterious because Japan does so well without them. Underlying this argument is the idea that management ability cannot be taught, one is either born with it or must acquire it over years of practical experience. A second argument is that business schools are overly academic and theoretical. They teach quantitative models that have little application to real world problems. Third, they give inadequate attention to shop floor issues, to production processes and to management resources. Finally, it is argued that the encourage undesirable attitudes in students, such as placing value on the short term and ‘bottom line’ targets, while neglecting longer term development criteria. In summary, some business executives complain that MBAs are incapable of handing day to day operational decisions, unable to communicate and to motivate people, and unwillingly to accept responsibility for following through on implementation plans. We shall analyze these criticisms after having reviewed experiences in other countries.

In contrast to the expansion and development of business education in the United States and more recently in Europe, Japanese business schools graduate no more than two hundred MBAs each year. The Keio Business School (KBS) was the only graduate school of management in the entire country until the mid 1970’s and it still boasts the only two year masters programme. The absence of business schools in Japan would appear in contradiction with the high priority placed upon learning by its Confucian culture. Confucian colleges taught administrative skills as early as 1630 and Japan wholeheartedly accepted Western learning following the Meiji restoration of 1868 when hundreds of students were dispatched to universities in US, Germany, England and France to learn the secrets of western technology and modernization. Moreover, the Japanese educational system is highly developed and intensely competitive and can be credited for raising the literary and mathematical abilities of the Japanese to the highest level in the world.

Until recently, Japan corporations have not been interested in using either local or foreign business schools for the development of their future executives. Their in-company training programs have sought the socialization of newcomers, the younger the better. The training is highly specific and those who receive it have neither the capacity nor the incentive to quit. The prevailing belief, says Imai, ‘is a management should be born out of experience and many years of effort and not learnt from educational institutions.’ A 1960 survey of Japanese senior executives confirmed that a majority (54%) believed that managerial capabilities can be attained only on the job and not in universities.

However, this view seems to be changing: the same survey revealed that even as early as 1960. 37% of senior executives felt that the universities should teach integrated professional management. In the 1980’s a combination of increased competitive pressures and greater multi-nationalisation of Japanese business are making it difficult for many companies to rely solely upon internally trained managers. This has led to a rapid growth of local business programmes and a greater use of American MBA programmes. In 1982-83, the Japanese comprised the largest single group of foreign students at Wharton, where they not only learnt the latest techniques of financial analysis, but also developed worldwide contacts through their classmates and became Americanized, something highly useful in future negotiations. The Japanese, then do not ‘do without’ business schools, as is sometimes contended. But the process of selecting and orienting new graduates, even MBAs, into corporations is radically different than in the US. Rather than being placed in highly paying staff positions, new Japanese recruits are assigned responsibility for operational and even menial tasks. Success is based upon Japan’s system of highly competitive recruitment and intensive in-company management development, which in turn are grounded in its tradition of universal and rigorous academic education, life-long employment and strong group identification.

The harmony among these traditional elements has made Japanese industry highly productive and given corporate leadership a long term view. It is true that this has been achieved without much attention to university business education, but extraordinary attention has been devoted to the development of managerial skills, both within the company and through participation in programmes sponsored by the Productivity Center and other similar organizations.

The growth of popularity of business schools among students was most probably due to

A
Herbert A. Simon a management professor winning the Nobel Prize in economics.
B
the gain in academic stature.
C
the large number of MBA degree awarded.
D
a perception that it was a ‘passport to good life.’
Solution:
It was widely perceived that management education was a passport to good life.
Q.No: 46
Test Name : CAT Paper 1993
Q101 to 150: Each passage in this part is followed by questions based upon its contents. Read the passage carefully and choose the best answer for each question.

Management education gained new academic stature within US Universities and greater respect from outside during the 1960’s and 1970’s. Some observers attribute the competitive superiority of US corporations to the quality of business education. In 1978, a management professor, Herbert A. Simon of Carnegie Mellon University, won the Nobel Prize in economics for his work in decision theory. And the popularity of business education continued to grow, since 1960, the number of master’s degrees awarded annually has grown from under 5000 to over 50,000 in the mid 1980’s as the MBA has become known as ‘the passport to the good life’.

By the 1980’s, however, US business schools faced critics who charged that learning had little relevance to real business problems. Some went so far as to blame business schools for the decline in US competitiveness.

Amidst the criticisms, four distinct arguments may be discerned. The first is that business schools must be either unnecessary or deleterious because Japan does so well without them. Underlying this argument is the idea that management ability cannot be taught, one is either born with it or must acquire it over years of practical experience. A second argument is that business schools are overly academic and theoretical. They teach quantitative models that have little application to real world problems. Third, they give inadequate attention to shop floor issues, to production processes and to management resources. Finally, it is argued that the encourage undesirable attitudes in students, such as placing value on the short term and ‘bottom line’ targets, while neglecting longer term development criteria. In summary, some business executives complain that MBAs are incapable of handing day to day operational decisions, unable to communicate and to motivate people, and unwillingly to accept responsibility for following through on implementation plans. We shall analyze these criticisms after having reviewed experiences in other countries.

In contrast to the expansion and development of business education in the United States and more recently in Europe, Japanese business schools graduate no more than two hundred MBAs each year. The Keio Business School (KBS) was the only graduate school of management in the entire country until the mid 1970’s and it still boasts the only two year masters programme. The absence of business schools in Japan would appear in contradiction with the high priority placed upon learning by its Confucian culture. Confucian colleges taught administrative skills as early as 1630 and Japan wholeheartedly accepted Western learning following the Meiji restoration of 1868 when hundreds of students were dispatched to universities in US, Germany, England and France to learn the secrets of western technology and modernization. Moreover, the Japanese educational system is highly developed and intensely competitive and can be credited for raising the literary and mathematical abilities of the Japanese to the highest level in the world.

Until recently, Japan corporations have not been interested in using either local or foreign business schools for the development of their future executives. Their in-company training programs have sought the socialization of newcomers, the younger the better. The training is highly specific and those who receive it have neither the capacity nor the incentive to quit. The prevailing belief, says Imai, ‘is a management should be born out of experience and many years of effort and not learnt from educational institutions.’ A 1960 survey of Japanese senior executives confirmed that a majority (54%) believed that managerial capabilities can be attained only on the job and not in universities.

However, this view seems to be changing: the same survey revealed that even as early as 1960. 37% of senior executives felt that the universities should teach integrated professional management. In the 1980’s a combination of increased competitive pressures and greater multi-nationalisation of Japanese business are making it difficult for many companies to rely solely upon internally trained managers. This has led to a rapid growth of local business programmes and a greater use of American MBA programmes. In 1982-83, the Japanese comprised the largest single group of foreign students at Wharton, where they not only learnt the latest techniques of financial analysis, but also developed worldwide contacts through their classmates and became Americanized, something highly useful in future negotiations. The Japanese, then do not ‘do without’ business schools, as is sometimes contended. But the process of selecting and orienting new graduates, even MBAs, into corporations is radically different than in the US. Rather than being placed in highly paying staff positions, new Japanese recruits are assigned responsibility for operational and even menial tasks. Success is based upon Japan’s system of highly competitive recruitment and intensive in-company management development, which in turn are grounded in its tradition of universal and rigorous academic education, life-long employment and strong group identification.

The harmony among these traditional elements has made Japanese industry highly productive and given corporate leadership a long term view. It is true that this has been achieved without much attention to university business education, but extraordinary attention has been devoted to the development of managerial skills, both within the company and through participation in programmes sponsored by the Productivity Center and other similar organizations.

According to the passage

A
learning, which was useful in the 1960’s and 1970’s became irrelevant in the 1980’s.
B
management education faced criticisms in the 1980’s
C
business schools are insensitive to the needs of industry.
D
by the 1980’s business schools contributed to the decline in US competitiveness.
Solution:
In 1980’s management education had started getting criticism from various quarters.
Q.No: 47
Test Name : CAT Paper 1993
Q101 to 150: Each passage in this part is followed by questions based upon its contents. Read the passage carefully and choose the best answer for each question.

Management education gained new academic stature within US Universities and greater respect from outside during the 1960’s and 1970’s. Some observers attribute the competitive superiority of US corporations to the quality of business education. In 1978, a management professor, Herbert A. Simon of Carnegie Mellon University, won the Nobel Prize in economics for his work in decision theory. And the popularity of business education continued to grow, since 1960, the number of master’s degrees awarded annually has grown from under 5000 to over 50,000 in the mid 1980’s as the MBA has become known as ‘the passport to the good life’.

By the 1980’s, however, US business schools faced critics who charged that learning had little relevance to real business problems. Some went so far as to blame business schools for the decline in US competitiveness.

Amidst the criticisms, four distinct arguments may be discerned. The first is that business schools must be either unnecessary or deleterious because Japan does so well without them. Underlying this argument is the idea that management ability cannot be taught, one is either born with it or must acquire it over years of practical experience. A second argument is that business schools are overly academic and theoretical. They teach quantitative models that have little application to real world problems. Third, they give inadequate attention to shop floor issues, to production processes and to management resources. Finally, it is argued that the encourage undesirable attitudes in students, such as placing value on the short term and ‘bottom line’ targets, while neglecting longer term development criteria. In summary, some business executives complain that MBAs are incapable of handing day to day operational decisions, unable to communicate and to motivate people, and unwillingly to accept responsibility for following through on implementation plans. We shall analyze these criticisms after having reviewed experiences in other countries.

In contrast to the expansion and development of business education in the United States and more recently in Europe, Japanese business schools graduate no more than two hundred MBAs each year. The Keio Business School (KBS) was the only graduate school of management in the entire country until the mid 1970’s and it still boasts the only two year masters programme. The absence of business schools in Japan would appear in contradiction with the high priority placed upon learning by its Confucian culture. Confucian colleges taught administrative skills as early as 1630 and Japan wholeheartedly accepted Western learning following the Meiji restoration of 1868 when hundreds of students were dispatched to universities in US, Germany, England and France to learn the secrets of western technology and modernization. Moreover, the Japanese educational system is highly developed and intensely competitive and can be credited for raising the literary and mathematical abilities of the Japanese to the highest level in the world.

Until recently, Japan corporations have not been interested in using either local or foreign business schools for the development of their future executives. Their in-company training programs have sought the socialization of newcomers, the younger the better. The training is highly specific and those who receive it have neither the capacity nor the incentive to quit. The prevailing belief, says Imai, ‘is a management should be born out of experience and many years of effort and not learnt from educational institutions.’ A 1960 survey of Japanese senior executives confirmed that a majority (54%) believed that managerial capabilities can be attained only on the job and not in universities.

However, this view seems to be changing: the same survey revealed that even as early as 1960. 37% of senior executives felt that the universities should teach integrated professional management. In the 1980’s a combination of increased competitive pressures and greater multi-nationalisation of Japanese business are making it difficult for many companies to rely solely upon internally trained managers. This has led to a rapid growth of local business programmes and a greater use of American MBA programmes. In 1982-83, the Japanese comprised the largest single group of foreign students at Wharton, where they not only learnt the latest techniques of financial analysis, but also developed worldwide contacts through their classmates and became Americanized, something highly useful in future negotiations. The Japanese, then do not ‘do without’ business schools, as is sometimes contended. But the process of selecting and orienting new graduates, even MBAs, into corporations is radically different than in the US. Rather than being placed in highly paying staff positions, new Japanese recruits are assigned responsibility for operational and even menial tasks. Success is based upon Japan’s system of highly competitive recruitment and intensive in-company management development, which in turn are grounded in its tradition of universal and rigorous academic education, life-long employment and strong group identification.

The harmony among these traditional elements has made Japanese industry highly productive and given corporate leadership a long term view. It is true that this has been achieved without much attention to university business education, but extraordinary attention has been devoted to the development of managerial skills, both within the company and through participation in programmes sponsored by the Productivity Center and other similar organizations.

A criticism that management education did not face was that

A
it imparted poor quantitative skills to MBAs.
B
it was unnecessarily and deleterious.
C
it was irrevocably irrelevant.
D
it inculcated undesirable attitudes in students.
Solution:
Management education faced all other criticisms in the 1980’s
Q.No: 48
Test Name : CAT Paper 1993
Q101 to 150: Each passage in this part is followed by questions based upon its contents. Read the passage carefully and choose the best answer for each question.

Management education gained new academic stature within US Universities and greater respect from outside during the 1960’s and 1970’s. Some observers attribute the competitive superiority of US corporations to the quality of business education. In 1978, a management professor, Herbert A. Simon of Carnegie Mellon University, won the Nobel Prize in economics for his work in decision theory. And the popularity of business education continued to grow, since 1960, the number of master’s degrees awarded annually has grown from under 5000 to over 50,000 in the mid 1980’s as the MBA has become known as ‘the passport to the good life’.

By the 1980’s, however, US business schools faced critics who charged that learning had little relevance to real business problems. Some went so far as to blame business schools for the decline in US competitiveness.

Amidst the criticisms, four distinct arguments may be discerned. The first is that business schools must be either unnecessary or deleterious because Japan does so well without them. Underlying this argument is the idea that management ability cannot be taught, one is either born with it or must acquire it over years of practical experience. A second argument is that business schools are overly academic and theoretical. They teach quantitative models that have little application to real world problems. Third, they give inadequate attention to shop floor issues, to production processes and to management resources. Finally, it is argued that the encourage undesirable attitudes in students, such as placing value on the short term and ‘bottom line’ targets, while neglecting longer term development criteria. In summary, some business executives complain that MBAs are incapable of handing day to day operational decisions, unable to communicate and to motivate people, and unwillingly to accept responsibility for following through on implementation plans. We shall analyze these criticisms after having reviewed experiences in other countries.

In contrast to the expansion and development of business education in the United States and more recently in Europe, Japanese business schools graduate no more than two hundred MBAs each year. The Keio Business School (KBS) was the only graduate school of management in the entire country until the mid 1970’s and it still boasts the only two year masters programme. The absence of business schools in Japan would appear in contradiction with the high priority placed upon learning by its Confucian culture. Confucian colleges taught administrative skills as early as 1630 and Japan wholeheartedly accepted Western learning following the Meiji restoration of 1868 when hundreds of students were dispatched to universities in US, Germany, England and France to learn the secrets of western technology and modernization. Moreover, the Japanese educational system is highly developed and intensely competitive and can be credited for raising the literary and mathematical abilities of the Japanese to the highest level in the world.

Until recently, Japan corporations have not been interested in using either local or foreign business schools for the development of their future executives. Their in-company training programs have sought the socialization of newcomers, the younger the better. The training is highly specific and those who receive it have neither the capacity nor the incentive to quit. The prevailing belief, says Imai, ‘is a management should be born out of experience and many years of effort and not learnt from educational institutions.’ A 1960 survey of Japanese senior executives confirmed that a majority (54%) believed that managerial capabilities can be attained only on the job and not in universities.

However, this view seems to be changing: the same survey revealed that even as early as 1960. 37% of senior executives felt that the universities should teach integrated professional management. In the 1980’s a combination of increased competitive pressures and greater multi-nationalisation of Japanese business are making it difficult for many companies to rely solely upon internally trained managers. This has led to a rapid growth of local business programmes and a greater use of American MBA programmes. In 1982-83, the Japanese comprised the largest single group of foreign students at Wharton, where they not only learnt the latest techniques of financial analysis, but also developed worldwide contacts through their classmates and became Americanized, something highly useful in future negotiations. The Japanese, then do not ‘do without’ business schools, as is sometimes contended. But the process of selecting and orienting new graduates, even MBAs, into corporations is radically different than in the US. Rather than being placed in highly paying staff positions, new Japanese recruits are assigned responsibility for operational and even menial tasks. Success is based upon Japan’s system of highly competitive recruitment and intensive in-company management development, which in turn are grounded in its tradition of universal and rigorous academic education, life-long employment and strong group identification.

The harmony among these traditional elements has made Japanese industry highly productive and given corporate leadership a long term view. It is true that this has been achieved without much attention to university business education, but extraordinary attention has been devoted to the development of managerial skills, both within the company and through participation in programmes sponsored by the Productivity Center and other similar organizations.

The absence of business schools in Japan

A
is due to the prevalent belief that management ability can only be acquired over years of practical experience.
B
was due to the high priority placed on learning as opposed to doing in Confucian culture.
C
is hard to explain for the proponents of business education.
D
contributed a great deal to their success in international trade and business.
Solution:
Japan has traditionally believed that management ability can only be acquired through years of practical experience.
Q.No: 49
Test Name : CAT Paper 1993
Q101 to 150: Each passage in this part is followed by questions based upon its contents. Read the passage carefully and choose the best answer for each question.

Management education gained new academic stature within US Universities and greater respect from outside during the 1960’s and 1970’s. Some observers attribute the competitive superiority of US corporations to the quality of business education. In 1978, a management professor, Herbert A. Simon of Carnegie Mellon University, won the Nobel Prize in economics for his work in decision theory. And the popularity of business education continued to grow, since 1960, the number of master’s degrees awarded annually has grown from under 5000 to over 50,000 in the mid 1980’s as the MBA has become known as ‘the passport to the good life’.

By the 1980’s, however, US business schools faced critics who charged that learning had little relevance to real business problems. Some went so far as to blame business schools for the decline in US competitiveness.

Amidst the criticisms, four distinct arguments may be discerned. The first is that business schools must be either unnecessary or deleterious because Japan does so well without them. Underlying this argument is the idea that management ability cannot be taught, one is either born with it or must acquire it over years of practical experience. A second argument is that business schools are overly academic and theoretical. They teach quantitative models that have little application to real world problems. Third, they give inadequate attention to shop floor issues, to production processes and to management resources. Finally, it is argued that the encourage undesirable attitudes in students, such as placing value on the short term and ‘bottom line’ targets, while neglecting longer term development criteria. In summary, some business executives complain that MBAs are incapable of handing day to day operational decisions, unable to communicate and to motivate people, and unwillingly to accept responsibility for following through on implementation plans. We shall analyze these criticisms after having reviewed experiences in other countries.

In contrast to the expansion and development of business education in the United States and more recently in Europe, Japanese business schools graduate no more than two hundred MBAs each year. The Keio Business School (KBS) was the only graduate school of management in the entire country until the mid 1970’s and it still boasts the only two year masters programme. The absence of business schools in Japan would appear in contradiction with the high priority placed upon learning by its Confucian culture. Confucian colleges taught administrative skills as early as 1630 and Japan wholeheartedly accepted Western learning following the Meiji restoration of 1868 when hundreds of students were dispatched to universities in US, Germany, England and France to learn the secrets of western technology and modernization. Moreover, the Japanese educational system is highly developed and intensely competitive and can be credited for raising the literary and mathematical abilities of the Japanese to the highest level in the world.

Until recently, Japan corporations have not been interested in using either local or foreign business schools for the development of their future executives. Their in-company training programs have sought the socialization of newcomers, the younger the better. The training is highly specific and those who receive it have neither the capacity nor the incentive to quit. The prevailing belief, says Imai, ‘is a management should be born out of experience and many years of effort and not learnt from educational institutions.’ A 1960 survey of Japanese senior executives confirmed that a majority (54%) believed that managerial capabilities can be attained only on the job and not in universities.

However, this view seems to be changing: the same survey revealed that even as early as 1960. 37% of senior executives felt that the universities should teach integrated professional management. In the 1980’s a combination of increased competitive pressures and greater multi-nationalisation of Japanese business are making it difficult for many companies to rely solely upon internally trained managers. This has led to a rapid growth of local business programmes and a greater use of American MBA programmes. In 1982-83, the Japanese comprised the largest single group of foreign students at Wharton, where they not only learnt the latest techniques of financial analysis, but also developed worldwide contacts through their classmates and became Americanized, something highly useful in future negotiations. The Japanese, then do not ‘do without’ business schools, as is sometimes contended. But the process of selecting and orienting new graduates, even MBAs, into corporations is radically different than in the US. Rather than being placed in highly paying staff positions, new Japanese recruits are assigned responsibility for operational and even menial tasks. Success is based upon Japan’s system of highly competitive recruitment and intensive in-company management development, which in turn are grounded in its tradition of universal and rigorous academic education, life-long employment and strong group identification.

The harmony among these traditional elements has made Japanese industry highly productive and given corporate leadership a long term view. It is true that this has been achieved without much attention to university business education, but extraordinary attention has been devoted to the development of managerial skills, both within the company and through participation in programmes sponsored by the Productivity Center and other similar organizations.

The 1960’s and 1970’s can best be described as a period

A
when quality business education contribute to the superiority of US corporations.
B
when the number of MBAs rose from under 5,000 to over 50,000.
C
when management education gained new academic stature and greater respect.
D
when the MBA became more disreputable.
Solution:
In 1960’s and 1970’s management education gained academic stature. A management professor was even awarded the Nobel prize. It also gained more respect.
Q.No: 50
Test Name : CAT Paper 1993
Q101 to 150: Each passage in this part is followed by questions based upon its contents. Read the passage carefully and choose the best answer for each question.

Management education gained new academic stature within US Universities and greater respect from outside during the 1960’s and 1970’s. Some observers attribute the competitive superiority of US corporations to the quality of business education. In 1978, a management professor, Herbert A. Simon of Carnegie Mellon University, won the Nobel Prize in economics for his work in decision theory. And the popularity of business education continued to grow, since 1960, the number of master’s degrees awarded annually has grown from under 5000 to over 50,000 in the mid 1980’s as the MBA has become known as ‘the passport to the good life’.

By the 1980’s, however, US business schools faced critics who charged that learning had little relevance to real business problems. Some went so far as to blame business schools for the decline in US competitiveness.

Amidst the criticisms, four distinct arguments may be discerned. The first is that business schools must be either unnecessary or deleterious because Japan does so well without them. Underlying this argument is the idea that management ability cannot be taught, one is either born with it or must acquire it over years of practical experience. A second argument is that business schools are overly academic and theoretical. They teach quantitative models that have little application to real world problems. Third, they give inadequate attention to shop floor issues, to production processes and to management resources. Finally, it is argued that the encourage undesirable attitudes in students, such as placing value on the short term and ‘bottom line’ targets, while neglecting longer term development criteria. In summary, some business executives complain that MBAs are incapable of handing day to day operational decisions, unable to communicate and to motivate people, and unwillingly to accept responsibility for following through on implementation plans. We shall analyze these criticisms after having reviewed experiences in other countries.

In contrast to the expansion and development of business education in the United States and more recently in Europe, Japanese business schools graduate no more than two hundred MBAs each year. The Keio Business School (KBS) was the only graduate school of management in the entire country until the mid 1970’s and it still boasts the only two year masters programme. The absence of business schools in Japan would appear in contradiction with the high priority placed upon learning by its Confucian culture. Confucian colleges taught administrative skills as early as 1630 and Japan wholeheartedly accepted Western learning following the Meiji restoration of 1868 when hundreds of students were dispatched to universities in US, Germany, England and France to learn the secrets of western technology and modernization. Moreover, the Japanese educational system is highly developed and intensely competitive and can be credited for raising the literary and mathematical abilities of the Japanese to the highest level in the world.

Until recently, Japan corporations have not been interested in using either local or foreign business schools for the development of their future executives. Their in-company training programs have sought the socialization of newcomers, the younger the better. The training is highly specific and those who receive it have neither the capacity nor the incentive to quit. The prevailing belief, says Imai, ‘is a management should be born out of experience and many years of effort and not learnt from educational institutions.’ A 1960 survey of Japanese senior executives confirmed that a majority (54%) believed that managerial capabilities can be attained only on the job and not in universities.

However, this view seems to be changing: the same survey revealed that even as early as 1960. 37% of senior executives felt that the universities should teach integrated professional management. In the 1980’s a combination of increased competitive pressures and greater multi-nationalisation of Japanese business are making it difficult for many companies to rely solely upon internally trained managers. This has led to a rapid growth of local business programmes and a greater use of American MBA programmes. In 1982-83, the Japanese comprised the largest single group of foreign students at Wharton, where they not only learnt the latest techniques of financial analysis, but also developed worldwide contacts through their classmates and became Americanized, something highly useful in future negotiations. The Japanese, then do not ‘do without’ business schools, as is sometimes contended. But the process of selecting and orienting new graduates, even MBAs, into corporations is radically different than in the US. Rather than being placed in highly paying staff positions, new Japanese recruits are assigned responsibility for operational and even menial tasks. Success is based upon Japan’s system of highly competitive recruitment and intensive in-company management development, which in turn are grounded in its tradition of universal and rigorous academic education, life-long employment and strong group identification.

The harmony among these traditional elements has made Japanese industry highly productive and given corporate leadership a long term view. It is true that this has been achieved without much attention to university business education, but extraordinary attention has been devoted to the development of managerial skills, both within the company and through participation in programmes sponsored by the Productivity Center and other similar organizations.

US business schools faced criticism in the 1980’s because

A
of the decline in Japanese competitiveness.
B
many critics felt the learning had little relevance to business problems.
C
people realized that management ability cannot be taught.
D
MBAs were unwilling to accept responsibility for implementation on the shop floor.
Solution:
In 1980’s critics charged that learning had little relevance to real business problems.
Q.No: 51
Test Name : CAT Paper 1993
Q101 to 150: Each passage in this part is followed by questions based upon its contents. Read the passage carefully and choose the best answer for each question.

Management education gained new academic stature within US Universities and greater respect from outside during the 1960’s and 1970’s. Some observers attribute the competitive superiority of US corporations to the quality of business education. In 1978, a management professor, Herbert A. Simon of Carnegie Mellon University, won the Nobel Prize in economics for his work in decision theory. And the popularity of business education continued to grow, since 1960, the number of master’s degrees awarded annually has grown from under 5000 to over 50,000 in the mid 1980’s as the MBA has become known as ‘the passport to the good life’.

By the 1980’s, however, US business schools faced critics who charged that learning had little relevance to real business problems. Some went so far as to blame business schools for the decline in US competitiveness.

Amidst the criticisms, four distinct arguments may be discerned. The first is that business schools must be either unnecessary or deleterious because Japan does so well without them. Underlying this argument is the idea that management ability cannot be taught, one is either born with it or must acquire it over years of practical experience. A second argument is that business schools are overly academic and theoretical. They teach quantitative models that have little application to real world problems. Third, they give inadequate attention to shop floor issues, to production processes and to management resources. Finally, it is argued that the encourage undesirable attitudes in students, such as placing value on the short term and ‘bottom line’ targets, while neglecting longer term development criteria. In summary, some business executives complain that MBAs are incapable of handing day to day operational decisions, unable to communicate and to motivate people, and unwillingly to accept responsibility for following through on implementation plans. We shall analyze these criticisms after having reviewed experiences in other countries.

In contrast to the expansion and development of business education in the United States and more recently in Europe, Japanese business schools graduate no more than two hundred MBAs each year. The Keio Business School (KBS) was the only graduate school of management in the entire country until the mid 1970’s and it still boasts the only two year masters programme. The absence of business schools in Japan would appear in contradiction with the high priority placed upon learning by its Confucian culture. Confucian colleges taught administrative skills as early as 1630 and Japan wholeheartedly accepted Western learning following the Meiji restoration of 1868 when hundreds of students were dispatched to universities in US, Germany, England and France to learn the secrets of western technology and modernization. Moreover, the Japanese educational system is highly developed and intensely competitive and can be credited for raising the literary and mathematical abilities of the Japanese to the highest level in the world.

Until recently, Japan corporations have not been interested in using either local or foreign business schools for the development of their future executives. Their in-company training programs have sought the socialization of newcomers, the younger the better. The training is highly specific and those who receive it have neither the capacity nor the incentive to quit. The prevailing belief, says Imai, ‘is a management should be born out of experience and many years of effort and not learnt from educational institutions.’ A 1960 survey of Japanese senior executives confirmed that a majority (54%) believed that managerial capabilities can be attained only on the job and not in universities.

However, this view seems to be changing: the same survey revealed that even as early as 1960. 37% of senior executives felt that the universities should teach integrated professional management. In the 1980’s a combination of increased competitive pressures and greater multi-nationalisation of Japanese business are making it difficult for many companies to rely solely upon internally trained managers. This has led to a rapid growth of local business programmes and a greater use of American MBA programmes. In 1982-83, the Japanese comprised the largest single group of foreign students at Wharton, where they not only learnt the latest techniques of financial analysis, but also developed worldwide contacts through their classmates and became Americanized, something highly useful in future negotiations. The Japanese, then do not ‘do without’ business schools, as is sometimes contended. But the process of selecting and orienting new graduates, even MBAs, into corporations is radically different than in the US. Rather than being placed in highly paying staff positions, new Japanese recruits are assigned responsibility for operational and even menial tasks. Success is based upon Japan’s system of highly competitive recruitment and intensive in-company management development, which in turn are grounded in its tradition of universal and rigorous academic education, life-long employment and strong group identification.

The harmony among these traditional elements has made Japanese industry highly productive and given corporate leadership a long term view. It is true that this has been achieved without much attention to university business education, but extraordinary attention has been devoted to the development of managerial skills, both within the company and through participation in programmes sponsored by the Productivity Center and other similar organizations.

Training programmes in Japanese corporations have

A
been based upon Confucian culture.
B
sought the socialization of newcomers.
C
been targeted at people who have neither the capacity nor the incentive to quit.
D
been teaching people to do menial tasks.
Solution:
Training programmes in Japanese corporations have sought the socialization of new comers.
Q.No: 52
Test Name : CAT Paper 1993
Q101 to 150: Each passage in this part is followed by questions based upon its contents. Read the passage carefully and choose the best answer for each question.

Management education gained new academic stature within US Universities and greater respect from outside during the 1960’s and 1970’s. Some observers attribute the competitive superiority of US corporations to the quality of business education. In 1978, a management professor, Herbert A. Simon of Carnegie Mellon University, won the Nobel Prize in economics for his work in decision theory. And the popularity of business education continued to grow, since 1960, the number of master’s degrees awarded annually has grown from under 5000 to over 50,000 in the mid 1980’s as the MBA has become known as ‘the passport to the good life’.

By the 1980’s, however, US business schools faced critics who charged that learning had little relevance to real business problems. Some went so far as to blame business schools for the decline in US competitiveness.

Amidst the criticisms, four distinct arguments may be discerned. The first is that business schools must be either unnecessary or deleterious because Japan does so well without them. Underlying this argument is the idea that management ability cannot be taught, one is either born with it or must acquire it over years of practical experience. A second argument is that business schools are overly academic and theoretical. They teach quantitative models that have little application to real world problems. Third, they give inadequate attention to shop floor issues, to production processes and to management resources. Finally, it is argued that the encourage undesirable attitudes in students, such as placing value on the short term and ‘bottom line’ targets, while neglecting longer term development criteria. In summary, some business executives complain that MBAs are incapable of handing day to day operational decisions, unable to communicate and to motivate people, and unwillingly to accept responsibility for following through on implementation plans. We shall analyze these criticisms after having reviewed experiences in other countries.

In contrast to the expansion and development of business education in the United States and more recently in Europe, Japanese business schools graduate no more than two hundred MBAs each year. The Keio Business School (KBS) was the only graduate school of management in the entire country until the mid 1970’s and it still boasts the only two year masters programme. The absence of business schools in Japan would appear in contradiction with the high priority placed upon learning by its Confucian culture. Confucian colleges taught administrative skills as early as 1630 and Japan wholeheartedly accepted Western learning following the Meiji restoration of 1868 when hundreds of students were dispatched to universities in US, Germany, England and France to learn the secrets of western technology and modernization. Moreover, the Japanese educational system is highly developed and intensely competitive and can be credited for raising the literary and mathematical abilities of the Japanese to the highest level in the world.

Until recently, Japan corporations have not been interested in using either local or foreign business schools for the development of their future executives. Their in-company training programs have sought the socialization of newcomers, the younger the better. The training is highly specific and those who receive it have neither the capacity nor the incentive to quit. The prevailing belief, says Imai, ‘is a management should be born out of experience and many years of effort and not learnt from educational institutions.’ A 1960 survey of Japanese senior executives confirmed that a majority (54%) believed that managerial capabilities can be attained only on the job and not in universities.

However, this view seems to be changing: the same survey revealed that even as early as 1960. 37% of senior executives felt that the universities should teach integrated professional management. In the 1980’s a combination of increased competitive pressures and greater multi-nationalisation of Japanese business are making it difficult for many companies to rely solely upon internally trained managers. This has led to a rapid growth of local business programmes and a greater use of American MBA programmes. In 1982-83, the Japanese comprised the largest single group of foreign students at Wharton, where they not only learnt the latest techniques of financial analysis, but also developed worldwide contacts through their classmates and became Americanized, something highly useful in future negotiations. The Japanese, then do not ‘do without’ business schools, as is sometimes contended. But the process of selecting and orienting new graduates, even MBAs, into corporations is radically different than in the US. Rather than being placed in highly paying staff positions, new Japanese recruits are assigned responsibility for operational and even menial tasks. Success is based upon Japan’s system of highly competitive recruitment and intensive in-company management development, which in turn are grounded in its tradition of universal and rigorous academic education, life-long employment and strong group identification.

The harmony among these traditional elements has made Japanese industry highly productive and given corporate leadership a long term view. It is true that this has been achieved without much attention to university business education, but extraordinary attention has been devoted to the development of managerial skills, both within the company and through participation in programmes sponsored by the Productivity Center and other similar organizations.

The Japanese modified their views on management education because of

A
greater exposure to US MBA programmes.
B
the need to develop worldwide contacts and become Americanized.
C
the outstanding success of business schools in the US during the 1960’s and 1970’s.
D
a combination of increased competitive pressures and greater multi-nationalisation of Japanese business.
Solution:
Increased competitive pressures and greater multi nationalism of Japanese business made Japan change its attitude towards management education.
Q.No: 53
Test Name : CAT Paper 1993
Q101 to 150: Each passage in this part is followed by questions based upon its contents. Read the passage carefully and choose the best answer for each question.

Management education gained new academic stature within US Universities and greater respect from outside during the 1960’s and 1970’s. Some observers attribute the competitive superiority of US corporations to the quality of business education. In 1978, a management professor, Herbert A. Simon of Carnegie Mellon University, won the Nobel Prize in economics for his work in decision theory. And the popularity of business education continued to grow, since 1960, the number of master’s degrees awarded annually has grown from under 5000 to over 50,000 in the mid 1980’s as the MBA has become known as ‘the passport to the good life’.

By the 1980’s, however, US business schools faced critics who charged that learning had little relevance to real business problems. Some went so far as to blame business schools for the decline in US competitiveness.

Amidst the criticisms, four distinct arguments may be discerned. The first is that business schools must be either unnecessary or deleterious because Japan does so well without them. Underlying this argument is the idea that management ability cannot be taught, one is either born with it or must acquire it over years of practical experience. A second argument is that business schools are overly academic and theoretical. They teach quantitative models that have little application to real world problems. Third, they give inadequate attention to shop floor issues, to production processes and to management resources. Finally, it is argued that the encourage undesirable attitudes in students, such as placing value on the short term and ‘bottom line’ targets, while neglecting longer term development criteria. In summary, some business executives complain that MBAs are incapable of handing day to day operational decisions, unable to communicate and to motivate people, and unwillingly to accept responsibility for following through on implementation plans. We shall analyze these criticisms after having reviewed experiences in other countries.

In contrast to the expansion and development of business education in the United States and more recently in Europe, Japanese business schools graduate no more than two hundred MBAs each year. The Keio Business School (KBS) was the only graduate school of management in the entire country until the mid 1970’s and it still boasts the only two year masters programme. The absence of business schools in Japan would appear in contradiction with the high priority placed upon learning by its Confucian culture. Confucian colleges taught administrative skills as early as 1630 and Japan wholeheartedly accepted Western learning following the Meiji restoration of 1868 when hundreds of students were dispatched to universities in US, Germany, England and France to learn the secrets of western technology and modernization. Moreover, the Japanese educational system is highly developed and intensely competitive and can be credited for raising the literary and mathematical abilities of the Japanese to the highest level in the world.

Until recently, Japan corporations have not been interested in using either local or foreign business schools for the development of their future executives. Their in-company training programs have sought the socialization of newcomers, the younger the better. The training is highly specific and those who receive it have neither the capacity nor the incentive to quit. The prevailing belief, says Imai, ‘is a management should be born out of experience and many years of effort and not learnt from educational institutions.’ A 1960 survey of Japanese senior executives confirmed that a majority (54%) believed that managerial capabilities can be attained only on the job and not in universities.

However, this view seems to be changing: the same survey revealed that even as early as 1960. 37% of senior executives felt that the universities should teach integrated professional management. In the 1980’s a combination of increased competitive pressures and greater multi-nationalisation of Japanese business are making it difficult for many companies to rely solely upon internally trained managers. This has led to a rapid growth of local business programmes and a greater use of American MBA programmes. In 1982-83, the Japanese comprised the largest single group of foreign students at Wharton, where they not only learnt the latest techniques of financial analysis, but also developed worldwide contacts through their classmates and became Americanized, something highly useful in future negotiations. The Japanese, then do not ‘do without’ business schools, as is sometimes contended. But the process of selecting and orienting new graduates, even MBAs, into corporations is radically different than in the US. Rather than being placed in highly paying staff positions, new Japanese recruits are assigned responsibility for operational and even menial tasks. Success is based upon Japan’s system of highly competitive recruitment and intensive in-company management development, which in turn are grounded in its tradition of universal and rigorous academic education, life-long employment and strong group identification.

The harmony among these traditional elements has made Japanese industry highly productive and given corporate leadership a long term view. It is true that this has been achieved without much attention to university business education, but extraordinary attention has been devoted to the development of managerial skills, both within the company and through participation in programmes sponsored by the Productivity Center and other similar organizations.

The Japanese were initially able to do without business schools as a result of

A
their highly developed and intensively competitive education system.
B
dispatching hundreds of Western technology and modernization.
C
their highly specific in-company training programmes.
D
prevailing beliefs regarding educational institutions.
Solution:
The author states that the Japanese educational system is highly developed and intensely competitive, raising the mathematical and literary capabilities of the Japanese to the highest in the world.
Q.No: 54
Test Name : CAT Paper 1993
Q101 to 150: Each passage in this part is followed by questions based upon its contents. Read the passage carefully and choose the best answer for each question.

Management education gained new academic stature within US Universities and greater respect from outside during the 1960’s and 1970’s. Some observers attribute the competitive superiority of US corporations to the quality of business education. In 1978, a management professor, Herbert A. Simon of Carnegie Mellon University, won the Nobel Prize in economics for his work in decision theory. And the popularity of business education continued to grow, since 1960, the number of master’s degrees awarded annually has grown from under 5000 to over 50,000 in the mid 1980’s as the MBA has become known as ‘the passport to the good life’.

By the 1980’s, however, US business schools faced critics who charged that learning had little relevance to real business problems. Some went so far as to blame business schools for the decline in US competitiveness.

Amidst the criticisms, four distinct arguments may be discerned. The first is that business schools must be either unnecessary or deleterious because Japan does so well without them. Underlying this argument is the idea that management ability cannot be taught, one is either born with it or must acquire it over years of practical experience. A second argument is that business schools are overly academic and theoretical. They teach quantitative models that have little application to real world problems. Third, they give inadequate attention to shop floor issues, to production processes and to management resources. Finally, it is argued that the encourage undesirable attitudes in students, such as placing value on the short term and ‘bottom line’ targets, while neglecting longer term development criteria. In summary, some business executives complain that MBAs are incapable of handing day to day operational decisions, unable to communicate and to motivate people, and unwillingly to accept responsibility for following through on implementation plans. We shall analyze these criticisms after having reviewed experiences in other countries.

In contrast to the expansion and development of business education in the United States and more recently in Europe, Japanese business schools graduate no more than two hundred MBAs each year. The Keio Business School (KBS) was the only graduate school of management in the entire country until the mid 1970’s and it still boasts the only two year masters programme. The absence of business schools in Japan would appear in contradiction with the high priority placed upon learning by its Confucian culture. Confucian colleges taught administrative skills as early as 1630 and Japan wholeheartedly accepted Western learning following the Meiji restoration of 1868 when hundreds of students were dispatched to universities in US, Germany, England and France to learn the secrets of western technology and modernization. Moreover, the Japanese educational system is highly developed and intensely competitive and can be credited for raising the literary and mathematical abilities of the Japanese to the highest level in the world.

Until recently, Japan corporations have not been interested in using either local or foreign business schools for the development of their future executives. Their in-company training programs have sought the socialization of newcomers, the younger the better. The training is highly specific and those who receive it have neither the capacity nor the incentive to quit. The prevailing belief, says Imai, ‘is a management should be born out of experience and many years of effort and not learnt from educational institutions.’ A 1960 survey of Japanese senior executives confirmed that a majority (54%) believed that managerial capabilities can be attained only on the job and not in universities.

However, this view seems to be changing: the same survey revealed that even as early as 1960. 37% of senior executives felt that the universities should teach integrated professional management. In the 1980’s a combination of increased competitive pressures and greater multi-nationalisation of Japanese business are making it difficult for many companies to rely solely upon internally trained managers. This has led to a rapid growth of local business programmes and a greater use of American MBA programmes. In 1982-83, the Japanese comprised the largest single group of foreign students at Wharton, where they not only learnt the latest techniques of financial analysis, but also developed worldwide contacts through their classmates and became Americanized, something highly useful in future negotiations. The Japanese, then do not ‘do without’ business schools, as is sometimes contended. But the process of selecting and orienting new graduates, even MBAs, into corporations is radically different than in the US. Rather than being placed in highly paying staff positions, new Japanese recruits are assigned responsibility for operational and even menial tasks. Success is based upon Japan’s system of highly competitive recruitment and intensive in-company management development, which in turn are grounded in its tradition of universal and rigorous academic education, life-long employment and strong group identification.

The harmony among these traditional elements has made Japanese industry highly productive and given corporate leadership a long term view. It is true that this has been achieved without much attention to university business education, but extraordinary attention has been devoted to the development of managerial skills, both within the company and through participation in programmes sponsored by the Productivity Center and other similar organizations.

The main difference between US and Japanese corporations is

A
that one employs MBAs, the other does not.
B
that US corporations do not employ Japanese people.
C
that US corporations pay more to fresh recruits.
D
in the process of selecting and orienting new recruits.
Solution:
The two differ in their process of selecting and orienting new recruits.
Q.No: 55
Test Name : CAT Paper 1993
Q101 to 150: Each passage in this part is followed by questions based upon its contents. Read the passage carefully and choose the best answer for each question.

Management education gained new academic stature within US Universities and greater respect from outside during the 1960’s and 1970’s. Some observers attribute the competitive superiority of US corporations to the quality of business education. In 1978, a management professor, Herbert A. Simon of Carnegie Mellon University, won the Nobel Prize in economics for his work in decision theory. And the popularity of business education continued to grow, since 1960, the number of master’s degrees awarded annually has grown from under 5000 to over 50,000 in the mid 1980’s as the MBA has become known as ‘the passport to the good life’.

By the 1980’s, however, US business schools faced critics who charged that learning had little relevance to real business problems. Some went so far as to blame business schools for the decline in US competitiveness.

Amidst the criticisms, four distinct arguments may be discerned. The first is that business schools must be either unnecessary or deleterious because Japan does so well without them. Underlying this argument is the idea that management ability cannot be taught, one is either born with it or must acquire it over years of practical experience. A second argument is that business schools are overly academic and theoretical. They teach quantitative models that have little application to real world problems. Third, they give inadequate attention to shop floor issues, to production processes and to management resources. Finally, it is argued that the encourage undesirable attitudes in students, such as placing value on the short term and ‘bottom line’ targets, while neglecting longer term development criteria. In summary, some business executives complain that MBAs are incapable of handing day to day operational decisions, unable to communicate and to motivate people, and unwillingly to accept responsibility for following through on implementation plans. We shall analyze these criticisms after having reviewed experiences in other countries.

In contrast to the expansion and development of business education in the United States and more recently in Europe, Japanese business schools graduate no more than two hundred MBAs each year. The Keio Business School (KBS) was the only graduate school of management in the entire country until the mid 1970’s and it still boasts the only two year masters programme. The absence of business schools in Japan would appear in contradiction with the high priority placed upon learning by its Confucian culture. Confucian colleges taught administrative skills as early as 1630 and Japan wholeheartedly accepted Western learning following the Meiji restoration of 1868 when hundreds of students were dispatched to universities in US, Germany, England and France to learn the secrets of western technology and modernization. Moreover, the Japanese educational system is highly developed and intensely competitive and can be credited for raising the literary and mathematical abilities of the Japanese to the highest level in the world.

Until recently, Japan corporations have not been interested in using either local or foreign business schools for the development of their future executives. Their in-company training programs have sought the socialization of newcomers, the younger the better. The training is highly specific and those who receive it have neither the capacity nor the incentive to quit. The prevailing belief, says Imai, ‘is a management should be born out of experience and many years of effort and not learnt from educational institutions.’ A 1960 survey of Japanese senior executives confirmed that a majority (54%) believed that managerial capabilities can be attained only on the job and not in universities.

However, this view seems to be changing: the same survey revealed that even as early as 1960. 37% of senior executives felt that the universities should teach integrated professional management. In the 1980’s a combination of increased competitive pressures and greater multi-nationalisation of Japanese business are making it difficult for many companies to rely solely upon internally trained managers. This has led to a rapid growth of local business programmes and a greater use of American MBA programmes. In 1982-83, the Japanese comprised the largest single group of foreign students at Wharton, where they not only learnt the latest techniques of financial analysis, but also developed worldwide contacts through their classmates and became Americanized, something highly useful in future negotiations. The Japanese, then do not ‘do without’ business schools, as is sometimes contended. But the process of selecting and orienting new graduates, even MBAs, into corporations is radically different than in the US. Rather than being placed in highly paying staff positions, new Japanese recruits are assigned responsibility for operational and even menial tasks. Success is based upon Japan’s system of highly competitive recruitment and intensive in-company management development, which in turn are grounded in its tradition of universal and rigorous academic education, life-long employment and strong group identification.

The harmony among these traditional elements has made Japanese industry highly productive and given corporate leadership a long term view. It is true that this has been achieved without much attention to university business education, but extraordinary attention has been devoted to the development of managerial skills, both within the company and through participation in programmes sponsored by the Productivity Center and other similar organizations.

The author argues that

A
Japanese do not do without business schools as is generally perceived.
B
Japanese corporations do not hire MBAs because of traditions of universal and rigorous academic education, life long employment and strong group identification.
C
placing MBAs in operational and menial tasks is a major factor in Japanese business success.
D
US corporations should emulate the Japanese and change the way new recruits are induced.
Solution:
The author has given the example of Wharton to argue that Japanese do not ‘do without’ business schools.
Q.No: 56
Test Name : CAT Paper 1994
Q51 – 90 : Choose the best alternative.

What is the smallest number which when increased by 5 is completely divisible by 8, 11 and 24?

A
264
B
259
C
269
D
None of these
Solution:
Q.No: 57
Test Name : CAT Paper 1995

Direction for questions 51 to 53: Answer these questions independently.

56 – 1 is divisible by

A
13
B
31
C
5
D
None of these
Solution:
Q.No: 58
Test Name : CAT Paper 1995

Direction for questions 58 to 87: Answer the questions independently.

72 hens cost Rs.__ 96.7__. Then what does each hen cost, where two digits in place of ‘__’ are not visible or are written in illegible hand?

A
Rs.3.23
B
Rs.5.11
C
Rs.5.51
D
Rs.7.22
Solution:
Q.No: 59
Test Name : CAT Paper 1995

Direction for questions 58 to 87: Answer the questions independently.

A
100
B
105
C
125
D
75
Solution:
Q.No: 60
Test Name : CAT Paper 1995

Direction for questions 58 to 87: Answer the questions independently.

For the product n(n + 1)(2n + 1), n ∈ N, which one of the following is not necessarily true?

A
It is even
B
Divisible by 3
C
Divisible by the sum of the square of first n natural numbers
D
Never divisible by 237
Solution:
Q.No: 61
Test Name : CAT Paper 1995

Direction for questions 58 to 87: Answer the questions independently.

The remainder obtained when a prime number greater than 6 is divided by 6 is

A
1 or 3
B
1 or 5
C
3 or 5
D
4 or 5
Solution:
The best way to solve this question is by the method of simulation. Choose any prime number greater than 6 and verify the result.
When 7 is divided by 6, it gives a remainder 1. So our answer could be (a) or (b). When 11 is divided by 6, it gives a remainder 5. Hence, our answer is (b).
Q.No: 62
Test Name : CAT Paper 1995

Direction for questions 58 to 87: Answer the questions independently.

Three consecutive positive even numbers are such that thrice the first number exceeds double the third by 2, then the third number is

A
10
B
14
C
16
D
12
Solution:
Q.No: 63
Test Name : CAT Paper 1995

Direction for questions 58 to 87: Answer the questions independently.

Three bells chime at an interval of 18 min, 24 min and 32 min. At a certain time they begin to chime together. What length of time will elapse before they chime together again?

A
2 hr and 24 min
B
4 hr and 48 min
C
1 hr and 36 min
D
5 hr
Solution:
The bells will chime together after a time that is equal to the LCM of 18, 24 and 32 = 288 min = 4 hr and 48 min.
Q.No: 64
Test Name : CAT Paper 1995

Direction for questions 58 to 87: Answer the questions independently.

What is the value of m which satisfies 3m2 – 21m + 30 < 0?

A
m < 2 or m > 5
B
m > 2
C
2 < m < 5
D
Both (a) and (c)
Solution:
Q.No: 65
Test Name : CAT Paper 1996

If a number 774958A96B is to be divisible by 8 and 9, the respective values of A and B will be

A
7 and 8
B
8 and 0
C
5 and 8
D
None of these
Solution:
For the number to be divisible by 9, the sum of the digits should be a multiple of 9.
We find that the sum of all the digits (excluding A and B) = (7 + 7 + 4 + 9 + 5 + 8 + 9 + 6) = 55. The next higher multiple of 9 is 63 or 72.
Hence, the sum of A and B should either be 8 or 17. We find that (a) and (c) cannot be the answer.
For a number to be divisible by 8, the number formed by its last three digits should be divisible by 8. The last three digits are 96B. The multiples of 8 beginning with 96 are 960 and 968. Hence, B can either be 0 or 8. Both of which satisfy our requirement of the number being divisible by 9 as well. Therefore, A and B could either be 0 and 8 or 8 and 0 respectively.
Q.No: 66
Test Name : CAT Paper 1996

If n is any odd number greater than 1, then n(n2 – 1) is

A
divisible by 96 always
B
divisible by 48 always
C
divisible by 24 always
D
None of these
Solution:
Q.No: 67
Test Name : CAT Paper 1996

Once I had been to the post office to buy five-rupee, two-rupee and one-rupee stamps. I paid the clerk Rs. 20, and since he had no change, he gave me three more one-rupee stamps. If the number of stamps of each type that I had ordered initially was more than one, what was the total number of stamps that I bought?

A
10
B
9
C
12
D
8
Solution:
Since I paid Rs. 20 and because of lack of change, the clerk gave me Rs. 3 worth of stamps, it can be concluded that the total value of the stamp that I wanted to buy is Rs. 17. Since I ordered initially a minimum of 2 stamps of each denominations, if I buy exactly 2 stamps each, my total value is 2(5 + 2 + 1) = Rs. 16. The only way in which I make it Rs. 17 is buying one more stamp of Re 1. Hence, the total number of stamps that I ordered = (2 + 2 + 3) = 7. In addition, the clerk gave me 3 more.
Hence, the total number of stamps that I bought = (7 + 3) = 10 (viz. 2 five-rupee, 2 two-rupee and 6 one-rupee stamps)
Q.No: 68
Test Name : CAT Paper 1996

Find the value of

A
B
C
D
Solution:
Q.No: 69
Test Name : CAT Paper 2001
Directions for questions 1 to 37: Answer the questions independently.

Let x, y and z be distinct integers. x and y are odd and positive, and z is even and positive. Which one of the following statements cannot be true?

A
B
C
D
Solution:
Check the answer choices basis the fact that:
Odd × Odd = Odd
Odd × Even = Even
Even × Even = Even
Q.No: 70
Test Name : CAT Paper 2001
Directions for questions 1 to 37: Answer the questions independently.

A red light flashes three times per minute and a green light flashes five times in 2 min at regular intervals. If both lights start flashing at the same time, how many times do they flash together in each hour?

A
30
B
24
C
20
D
60
Solution:
First light blinks after 20 s.
Second light blinks after 24 s.
They blink together after LCM (20 and 24) = 120 s = 2 min. Hence, the number of times they blink together in an hour = 30.
Q.No: 71
Test Name : CAT Paper 2001
Directions for questions 1 to 37: Answer the questions independently.

Of 128 boxes of oranges, each box contains at least 120 and at most 144 oranges. The number of boxes containing the same number of oranges is at least

A
5
B
103
C
6
D
Cannot be determined
Solution:
We can put a minimum of 120 oranges and a maximum of 144 oranges, i.e., 25 oranges need to be filled in 128 boxes.
There are 25 different possibilities if there are 26 boxes. In such a case, at least 2 boxes contain the same number of oranges. (i.e., even if each of the 25 boxes contain a different number of oranges, the 26th must contain one of these numbers).
Similarly, if there are 51 boxes, at least 3 boxes contain the same number of oranges.
Hence, at least 6 boxes have the same number of oranges in case of 128 boxes.
Q.No: 72
Test Name : CAT Paper 2001
Directions for questions 1 to 37: Answer the questions independently.

In a four-digit number, the sum of the first 2 digits is equal to that of the last 2 digits. The sum of the first and last digits is equal to the third digit. Finally, the sum of the second and fourth digits is twice the sum of the other 2 digits. What is the third digit of the number?

A
5
B
8
C
1
D
4
Solution:
Q.No: 73
Test Name : CAT Paper 2001
Directions for questions 1 to 37: Answer the questions independently.

Anita had to do a multiplication. Instead of taking 35 as one of the multipliers, she took 53. As a result, the product went up by 540. What is the new product?

A
1050
B
540
C
1440
D
1590
Solution:
Q.No: 74
Test Name : CAT Paper 2001
Directions for questions 1 to 37: Answer the questions independently.

m is the smallest positive integer such that for any integer n ≥ m, the quantity n3 – 7n2 + 11n – 5 is positive. What is the value of m?

A
4
B
5
C
8
D
None of these
Solution:
Q.No: 75
Test Name : CAT Paper 2001
Directions for questions 40 to 48: Answer the questions independently.

Let b be a positive integer and a = b2 – b. If b ≥ 4 , then a2 – 2a is divisible by

A
15
B
20
C
24
D
All of these
Solution:
Q.No: 76
Test Name : CAT Paper 2001
Directions for questions 40 to 48: Answer the questions independently.

Ashish is given Rs. 158 in one-rupee denominations. He has been asked to allocate them into a number of bags such that any amount required between Re 1 and Rs. 158 can be given by handing out a certain number of bags without opening them. What is the minimum number of bags required?

A
11
B
12
C
13
D
None of these
Solution:
Q.No: 77
Test Name : CAT Paper 2001
Directions for questions 40 to 48: Answer the questions independently.

Let n be the number of different five-digit numbers, divisible by 4 with the digits 1, 2, 3, 4, 5 and 6, no digit being repeated in the numbers. What is the value of n?

A
144
B
168
C
192
D
None of these
Solution:
Q.No: 78
Test Name : CAT Paper 2003 (L)
DIRECTIONS for Questions 101 and 102: Answer the questions on the basis of the information given below.

A certain perfume is available at a duty-free shop at the Bangkok international airport. It is priced in the Thai currency Baht but other currencies are also acceptable. In particular, the shop accepts Euro and US Dollar at the following rates of exchange:
US Dollar 1 = 41 Bahts
Euro 1= 46 Bahts,

The perfume is priced at 520 Bahts per bottle. After one bottle is purchased, subsequent bottles are available at a discount of 30%. Three friends S, R and M together purchase three bottles of the perfume, agreeing to share the cost equally. R pays 2 Euros. M pays 4 Euros and 27 Thai Bahts and S pays the remaining amount in US Dollars.

How much does R owe to S in Thai Baht?

A
428
B
416
C
334
D
324
Solution:
S, M and R in all spend 1248 Bahts.
Initially M pays 211 Bahts and R pays 92 Bahts.
Remaining is paid by S i.e; 945 Bahts If 1248 is divided equally among S, M and R, each has to spend 415 Bahts.
Hence, M has to pay 205 Bahts which is 5 Dollars to S. and R has to pay 324 Bahts to S.
Q.No: 79
Test Name : CAT Paper 2003 (L)
DIRECTIONS for Questions 101 and 102: Answer the questions on the basis of the information given below.

A certain perfume is available at a duty-free shop at the Bangkok international airport. It is priced in the Thai currency Baht but other currencies are also acceptable. In particular, the shop accepts Euro and US Dollar at the following rates of exchange:
US Dollar 1 = 41 Bahts
Euro 1= 46 Bahts,

The perfume is priced at 520 Bahts per bottle. After one bottle is purchased, subsequent bottles are available at a discount of 30%. Three friends S, R and M together purchase three bottles of the perfume, agreeing to share the cost equally. R pays 2 Euros. M pays 4 Euros and 27 Thai Bahts and S pays the remaining amount in US Dollars.

How much does M owe to S in US Dollars?

A
3
B
4
C
5
D
6
Solution:
S, M and R in all spend 1248 Bahts.
Initially M pays 211 Bahts and R pays 92 Bahts.
Remaining is paid by S i.e; 945 Bahts If 1248 is divided equally among S, M and R, each has to spend 415 Bahts.
Hence, M has to pay 205 Bahts which is 5 Dollars to S. and R has to pay 324 Bahts to S.
Q.No: 80
Test Name : CAT Paper 2003 (L)
DIRECTIONS for Questions 114 to 120: Answer the questions independently of each other.

A test has 50 questions. A student scores 1 mark for a correct answer, –1/3 for a wrong answer, and –1/6 for not attempting a question. If the net score of a student is 32, the number of questions answered wrongly by that student cannot be less than

A
6
B
12
C
3
D
9
Solution:
Q.No: 81
Test Name : CAT Paper 2003 (L)
DIRECTIONS for Questions 114 to 120: Answer the questions independently of each other.

How many even integers n, where 100 ≤ n ≤ 200 , are divisible neither by seven nor by nine?

A
40
B
37
C
39
D
38
Solution:
There are 101 integers between 100 and 200, of which
51 are even.
Between 100 and 200, there are 14 multiples of 7, of
which 7 are even.
There are 11 multiples of 9, of which 6 are even.
But there is one integer (i.e., 126) that is a multiple of
both 7 and 9 and also even.
Hence, the answer is (51 – 7 – 6 + 1) = 39.
Q.No: 82
Test Name : CAT Paper 2003 (L)
DIRECTIONS for Questions 114 to 120: Answer the questions independently of each other.

A positive whole number M less than 100 is represented in base 2 notation, base 3 notation, and base 5 notation. It is found that in all three cases the last digit is 1, while in exactly two out of the three cases the leading digit is 1. Then M equals

A
31
B
63
C
75
D
91
Solution:
Q.No: 83
Test Name : CAT Paper 2003 (L)
DIRECTIONS for Questions 126 to 150: Answer the questions independently of each other.

How many three digit positive integers, with digits x, y and z in the hundred's, ten's and unit's place respectively, exist such that x < y, z < y and x ≠ 0 ?

A
245
B
285
C
240
D
320
Solution:
If y = 2 (it cannot be 0 or 1), then x can take 1 value
and z can take 2 values.
Thus with y = 2, a total of 1 × 2 = 2 numbers can be
formed. With y = 3, 2 × 3 = 6 numbers can be formed.
Similarly checking for all values of y from 2 to 9 and
adding up we get the answer as 240.
Q.No: 84
Test Name : CAT Paper 2003 (L)
DIRECTIONS for Questions 126 to 150: Answer the questions independently of each other.

The number of positive integers n in the range 12 ≤ n ≤ 40 such that the product (n −1)(n − 2)...3.2.1  is not divisible by n is

A
5
B
7
C
13
D
14
Solution:
From 12 to 40, there are 7 prime numbers, i.e., 13, 17, 19, 23, 29, 31 and 37 such that (n – 1)! is not divisible by any of them.
Q.No: 85
Test Name : CAT Paper 2003 (R)
Directions for questions 60 to 93: Answer the following questions independently.

What is the sum of all two-digit numbers that give a remainder of 3 when they are divided by 7?

A
666
B
676
C
683
D
777
Solution:
Q.No: 86
Test Name : CAT Paper 2003 (R)
Directions for questions 60 to 93: Answer the following questions independently.

What is the remainder when 496 is divided by 6?

A
0
B
2
C
3
D
4
Solution:
Q.No: 87
Test Name : CAT Paper 2003 (R)
Directions for questions 60 to 93: Answer the following questions independently.

Let n ( >1) be a composite integer such that is not an integer. Consider the following statements:
A: n has a perfect integer-valued divisor which is greater than 1 and less than
B: n has a perfect integer-valued divisor which is greater than but less than n

A
Both A and B are false
B
A is true but B is false
C
A is false but B is true
D
Both A and B are true
Solution:
Q.No: 88
Test Name : CAT Paper 2003 (R)
Directions for questions 60 to 93: Answer the following questions independently.

If a, a + 2 and a + 4 are prime numbers, then the number of possible solutions for a is

A
one
B
two
C
three
D
more than three
Solution:
Q.No: 89
Test Name : CAT Paper 2003 (R)
Directions for questions 60 to 93: Answer the following questions independently.

Let a, b, c, d and e be integers such that a = 6b = 12c, and 2b = 9d = 12 e. Then which of the following pairs contains a number that is not an integer?

A
B
C
D
Solution:
Q.No: 90
Test Name : CAT Paper 2003 (R)
Directions for questions 99 and 100: Answer the following questions independently.

Let x and y be positive integers such that x is prime and y is composite. Then,

A
y – x cannot be an even integer
B
xy cannot be an even integer
C
D
None of these
Solution:
Q.No: 91
Test Name : CAT Paper 1990

The remainder when 260 is divided by 5 equals

A
0
B
1
C
2
D
None of these
Solution:
Q.No: 92
Test Name : CAT Paper 1990

Mr.X enters a positive integer Y in an electronic calculator and then goes on pressing the square – root key repeatedly. Then

A
The display does not stabilize
B
The display becomes closer to 0
C
The display becomes closer to 1
D
May not be true and the answer depends on the choice of Y
Solution:
Q.No: 93
Test Name : CAT Paper 1990

A
99/100
B
1/100
C
100/101
D
101/102
Solution:
Q.No: 94
Test Name : CAT Paper 1990

If n is any positive integer, then n3 – n is divisible

A
Always by 12
B
Never by 12
C
Always by 6
D
Never by 6
Solution:
Q.No: 95
Test Name : CAT 2017 Actual Paper Slot 2

If the product of three consecutive positive integers is 15600 then the sum of the squares of these integers is

A
1777
B
1785
C
1875
D
1877
Solution:
Q.No: 96
Test Name : CAT 2018 Actual Paper Slot 1

While multiplying three real numbers, Ashok took one of the numbers as 73 instead of 37. As a result, the product went up by 720. Then the minimum possible value of the sum of squares of the other two numbers is

Solution:
Q.No: 97
Test Name : CAT 2019 Actual Paper Slot 1

The product of two positive numbers is 616. If the ratio of the difference of their cubes to the cube of their difference is 157:3, then the sum of the two numbers is

A
85
B
95
C
58
D
50
Solution:
Q.No: 98
Test Name : CAT 2019 Actual Paper Slot 2

If 5x – 3y = 13438 and 5x–1 + 3y+1 = 9686, then x + y equals

Solution:
Q.No: 99
Test Name : CAT Actual Paper 2020 Slot-1


A
B
C
D
Solution:
Q.No: 100
Test Name : CAT Actual Paper 2020 Slot-3

How many pairs (a, b) of positive integers are there such that a ≤ b and ab = 42017?

A
2017
B
2018
C
2019
D
2020
Solution:
Q.No: 101
Test Name : CAT Actual Paper 2022 Slot-1


Solution:
Q.No: 102
Test Name : CAT Actual Paper 2022 Slot-3

A school has less than 5000 students and if the students are divided equally into teams of either 9 or 10 or 12 or 25 each, exactly 4 are always left out. However, if they are divided into teams of 11 each, no one is left out. The maximum number of teams of 12 each that can be formed out of the students in the school is

Solution:
Let the number of students in the school be N.
N < 5000
N leaves a remainder of 4 when divided by 9, 10,
12, or 25.
N leaves a remainder of 4 when divided by LCM (9,
10, 12, 25) = 900.
N leaves a remainder of 4 when divided by 900.
N = 900x + 4
Since N < 5000, x can take range from 0 to 5.
But 900x + 4 is a multiple of 11 only when x = 2.
So N = 900 × 2 + 4 = 1804
Since 1804 = 12 × 150 + 4
Hence, when we divide these 1804 students into groups of 12, we get 150 groups.
Q.No: 103
Test Name : CAT Actual Paper 2023 Slot 1

The number of all natural numbers up to 1000 with non-repeating digits is

A
738
B
648
C
504
D
585
Solution:
Number of non-repeating one digit numbers
= 1 × 9 = 9
Number of non-repeating two digit numbers
= 9 × 9 = 81
Number of non-repeating three digit numbers
= 9 × 9 × 8 = 648
Hence, total numbers = 9 + 81 + 648 = 738.
Solution:


Solution:


Solution:


Solution:


Solution:


Solution:


Solution:


Solution:


Solution:


Solution:


Solution:


Solution:


Solution:


Solution:


Solution:


Solution:


Solution:


Solution:


Solution:


Solution:


Solution:


Solution:
The two equations can be simplified into n ≤ 2 and n ≥ 2. The only value that satisfies both these conditions is n = 2.


Solution:


Solution:


Solution:


Solution:
The last digits obtained by multiplying the units place digits should be the same as that obtained by multiplying the tens place digits.
Hence, option (b) is the correct answer.


Solution:
As 55 does not have factor common with 124, for 55n to be exactly divisible by 124, n should be a multiple of 124.
Hence, the minimum value that n can have is 124 itself.


Solution:


Solution:


Solution:
If (2x + 12) is perfectly divisible by x, then (2x + 12)/x has to be an integer as x is an integer. Now if we divide, the expression simplifies to (2 + 12/x). The only way in which this expression would be an integer is when 12/x is an integer or if 12 is perfectly divisible by x. This is possible if x takes either of these values : 1, 2, 3, 4, 6, 12. Hence, the answer is 6 values.


Solution:


Solution:


Solution:
Here logic is:
A + B = (A + B) – 18
Hence, 10 + 18 = {(10 + 18) – 18} = 10.


Solution:
Total number of two digit codes that can be formed is 10 × 10 = 100
Out of them 0,1,6,8,9 can create confusion.
Using these five digits, total number of two digit numbers that can be made is 5 × 5 = 25.
But out of these 25 numbers 00,11,88,69 and 96 will not make any confusion.
Hence, the required answer is 100 – 25 + 5 = 80.


Solution:


Solution:


Solution:
There are 139 players in all. We want to determine 1 champion among them. So all except the Champion should lose. A player can lose only once and since each match produces only one loser, to produce 138 losers, there should be 138 matches that should be played.


Solution:


Solution:


Solution:
She counted thumb on 1, 9, 17, 25 and so on. So it forms an arithmetic progression.
She counted thumb closest of 1994 on (1 + 1992 (multiple of 8)) = 1993
Hence, she would have counted 1994 on the index finger


Solution:


Solution:
An emotionally honest learning space is created by a teacher who is not afraid of dealing with feelings.


Solution:
Assigned reading and lecturing can create a conceptual space.


Solution:
The author states that the harmony among these traditional elements has made Japanese industry highly productive and given corporate leadership a long term view.


Solution:
It was widely perceived that management education was a passport to good life.


Solution:
In 1980’s management education had started getting criticism from various quarters.


Solution:
Management education faced all other criticisms in the 1980’s


Solution:
Japan has traditionally believed that management ability can only be acquired through years of practical experience.


Solution:
In 1960’s and 1970’s management education gained academic stature. A management professor was even awarded the Nobel prize. It also gained more respect.


Solution:
In 1980’s critics charged that learning had little relevance to real business problems.


Solution:
Training programmes in Japanese corporations have sought the socialization of new comers.


Solution:
Increased competitive pressures and greater multi nationalism of Japanese business made Japan change its attitude towards management education.


Solution:
The author states that the Japanese educational system is highly developed and intensely competitive, raising the mathematical and literary capabilities of the Japanese to the highest in the world.


Solution:
The two differ in their process of selecting and orienting new recruits.


Solution:
The author has given the example of Wharton to argue that Japanese do not ‘do without’ business schools.


Solution:


Solution:


Solution:


Solution:


Solution:


Solution:
The best way to solve this question is by the method of simulation. Choose any prime number greater than 6 and verify the result.
When 7 is divided by 6, it gives a remainder 1. So our answer could be (a) or (b). When 11 is divided by 6, it gives a remainder 5. Hence, our answer is (b).


Solution:


Solution:
The bells will chime together after a time that is equal to the LCM of 18, 24 and 32 = 288 min = 4 hr and 48 min.


Solution:


Solution:
For the number to be divisible by 9, the sum of the digits should be a multiple of 9.
We find that the sum of all the digits (excluding A and B) = (7 + 7 + 4 + 9 + 5 + 8 + 9 + 6) = 55. The next higher multiple of 9 is 63 or 72.
Hence, the sum of A and B should either be 8 or 17. We find that (a) and (c) cannot be the answer.
For a number to be divisible by 8, the number formed by its last three digits should be divisible by 8. The last three digits are 96B. The multiples of 8 beginning with 96 are 960 and 968. Hence, B can either be 0 or 8. Both of which satisfy our requirement of the number being divisible by 9 as well. Therefore, A and B could either be 0 and 8 or 8 and 0 respectively.


Solution:


Solution:
Since I paid Rs. 20 and because of lack of change, the clerk gave me Rs. 3 worth of stamps, it can be concluded that the total value of the stamp that I wanted to buy is Rs. 17. Since I ordered initially a minimum of 2 stamps of each denominations, if I buy exactly 2 stamps each, my total value is 2(5 + 2 + 1) = Rs. 16. The only way in which I make it Rs. 17 is buying one more stamp of Re 1. Hence, the total number of stamps that I ordered = (2 + 2 + 3) = 7. In addition, the clerk gave me 3 more.
Hence, the total number of stamps that I bought = (7 + 3) = 10 (viz. 2 five-rupee, 2 two-rupee and 6 one-rupee stamps)


Solution:


Solution:
Check the answer choices basis the fact that:
Odd × Odd = Odd
Odd × Even = Even
Even × Even = Even


Solution:
First light blinks after 20 s.
Second light blinks after 24 s.
They blink together after LCM (20 and 24) = 120 s = 2 min. Hence, the number of times they blink together in an hour = 30.


Solution:
We can put a minimum of 120 oranges and a maximum of 144 oranges, i.e., 25 oranges need to be filled in 128 boxes.
There are 25 different possibilities if there are 26 boxes. In such a case, at least 2 boxes contain the same number of oranges. (i.e., even if each of the 25 boxes contain a different number of oranges, the 26th must contain one of these numbers).
Similarly, if there are 51 boxes, at least 3 boxes contain the same number of oranges.
Hence, at least 6 boxes have the same number of oranges in case of 128 boxes.


Solution:


Solution:


Solution:


Solution:


Solution:


Solution:


Solution:
S, M and R in all spend 1248 Bahts.
Initially M pays 211 Bahts and R pays 92 Bahts.
Remaining is paid by S i.e; 945 Bahts If 1248 is divided equally among S, M and R, each has to spend 415 Bahts.
Hence, M has to pay 205 Bahts which is 5 Dollars to S. and R has to pay 324 Bahts to S.


Solution:
S, M and R in all spend 1248 Bahts.
Initially M pays 211 Bahts and R pays 92 Bahts.
Remaining is paid by S i.e; 945 Bahts If 1248 is divided equally among S, M and R, each has to spend 415 Bahts.
Hence, M has to pay 205 Bahts which is 5 Dollars to S. and R has to pay 324 Bahts to S.


Solution:


Solution:
There are 101 integers between 100 and 200, of which
51 are even.
Between 100 and 200, there are 14 multiples of 7, of
which 7 are even.
There are 11 multiples of 9, of which 6 are even.
But there is one integer (i.e., 126) that is a multiple of
both 7 and 9 and also even.
Hence, the answer is (51 – 7 – 6 + 1) = 39.


Solution:


Solution:
If y = 2 (it cannot be 0 or 1), then x can take 1 value
and z can take 2 values.
Thus with y = 2, a total of 1 × 2 = 2 numbers can be
formed. With y = 3, 2 × 3 = 6 numbers can be formed.
Similarly checking for all values of y from 2 to 9 and
adding up we get the answer as 240.


Solution:
From 12 to 40, there are 7 prime numbers, i.e., 13, 17, 19, 23, 29, 31 and 37 such that (n – 1)! is not divisible by any of them.


Solution:


Solution:


Solution:


Solution:


Solution:


Solution:


Solution:


Solution:


Solution:


Solution:


Solution:


Solution:


Solution:


Solution:


Solution:


Solution:


Solution:


Solution:
Let the number of students in the school be N.
N < 5000
N leaves a remainder of 4 when divided by 9, 10,
12, or 25.
N leaves a remainder of 4 when divided by LCM (9,
10, 12, 25) = 900.
N leaves a remainder of 4 when divided by 900.
N = 900x + 4
Since N < 5000, x can take range from 0 to 5.
But 900x + 4 is a multiple of 11 only when x = 2.
So N = 900 × 2 + 4 = 1804
Since 1804 = 12 × 150 + 4
Hence, when we divide these 1804 students into groups of 12, we get 150 groups.


Solution:
Number of non-repeating one digit numbers
= 1 × 9 = 9
Number of non-repeating two digit numbers
= 9 × 9 = 81
Number of non-repeating three digit numbers
= 9 × 9 × 8 = 648
Hence, total numbers = 9 + 81 + 648 = 738.


© 2025 CL Educate Ltd. All rights reserved.