Back Home
Persistent Timer

Maxima/Minima

Q.No: 1
Test Name : CAT Paper 2004


In NutsAndBolts factory, one machine produces only nuts at the rate of 100 nuts per minute and needs to be cleaned for 5 minutes after production of every 1000 nuts. Another machine produces only bolts at the rate of 75 bolts per minute and needs to cleaned for10 minutes after production of every 1500 bolts. If both the machines start production at the same time, what is the minimum duration required for producing 9000 pairs of nuts and bolts?

A
130 minutes
B
135 minutes
C
170 minutes
D
180 minutes
Solution:
Q.No: 2
Test Name : CAT Paper 2004

Each family in a locality has at most two adults, and no family has fewer than 3 children. Considering all the families together, there are more adults than boys, more boys than girls, and more girls than families, then the minimum possible number of families in the locality is

A
4
B
5
C
2
D
3
Solution:
Q.No: 3
Test Name : CAT Paper 1993
Q58 to 100 : Choose the appropriate answer choice.

The maximum possible value of y = min (1/2 – 3x2/4, 5x2/4) for the range 0 < x < 1 is

A
1/3
B
1/2
C
5/27
D
5/16
Solution:
Q.No: 4
Test Name : CAT Paper 1995

Direction for questions 58 to 87: Answer the questions independently.

Largest value of min(2 + x2, 6 – 3x), when x > 0, is

A
1
B
2
C
3
D
4
Solution:
Q.No: 5
Test Name : CAT Paper 2001
Directions for questions 1 to 37: Answer the questions independently.

If a, b, c and d are four positive real numbers such that abcd = 1, what is the minimum value of (1 + a)(1 + b)(1 + c)(1 + d)?

A
4
B
1
C
16
D
18
Solution:
Taking a = b = c = d = 1, we get the minimum value as (1 + 1) (1 + 1) (1 + 1) (1 + 1) = 2 × 2 × 2 × 2 = 16.
Q.No: 6
Test Name : CAT Paper 2001
Directions for questions 1 to 37: Answer the questions independently.

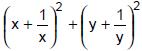
Let x and y be two positive numbers such that x + y = 1. Then the minimum value ofis

A
12
B
20
C
12.5
D
13.3
Solution:
Q.No: 7
Test Name : CAT Paper 2003 (R)
Directions for questions 60 to 93: Answer the following questions independently.

Using only 2, 5, 10, 25, and 50 paisa coins, what will be the minimum number of coins required to pay exactly 78 paise, 69 paise and Rs. 1.01 to three different persons?

A
19
B
20
C
17
D
18
Solution:
Q.No: 8
Test Name : CAT Paper 2003 (R)
Directions for questions 60 to 93: Answer the following questions independently.

If three positive real numbers x, y and z satisfy y – x = z – y and x y z = 4, then what is the minimum possible value of y?

A
21/3
B
22/3
C
21/4
D
23/4
Solution:
Q.No: 9
Test Name : CAT Paper 2003 (R)
Directions for questions 60 to 93: Answer the following questions independently.

A square tin sheet of side 12 inches is converted into a box with open top in the following steps. The sheet is placed horizontally. Then, equal-sized squares, each of side x inches, are cut from the four corners of the sheet. Finally, the four resulting sides are bent vertically upwards in the shape of a box. If x is an integer, then what value of x maximizes the volume of the box?

A
3
B
4
C
1
D
2
Solution:
Q.No: 10
Test Name : CAT 2017 Actual Paper Slot 1

An elevator has a weight limit of 630 kg. It is carrying a group of people of whom the heaviest weighs 57 kg and the lightest weighs 53 kg. What is the maximum possible number of people in the group?

Solution:
Q.No: 11
Test Name : CAT 2017 Actual Paper Slot 1

If a, b, c, and d are integers such that a + b + c + d = 30, then the minimum possible value of (a – b)2 + (a – c)2 + (a – d)2 is

Solution:
Q.No: 12
Test Name : CAT 2018 Actual Paper Slot 1

Let f(x) = min{2x2,52−5x}, where x is any positive real number. Then the maximum possible value of f(x) is

Solution:
Q.No: 13
Test Name : CAT 2018 Actual Paper Slot 2

Let f(x)=max{5x, 52-2x2}, where x is any positive real number. Then the minimum possible value of f(x) is

Solution:
Q.No: 14
Test Name : CAT Actual Paper 2020 Slot-1

Among 100 students, x1 have birthdays in January, x2 have birthdays in February, and so on. If x0 = max (x1, x2, …, x12), then the smallest possible value of x0 is

A
12
B
10
C
8
D
9
Solution:
Q.No: 15
Test Name : CAT Actual Paper 2020 Slot-2


A
B
C
1/3
D
1
Solution:
Q.No: 16
Test Name : CAT Actual Paper 2022 Slot-1

For natural numbers x, y, and z, if xy + yz = 19 and yz + xz = 51, then the minimum possible value of xyz is

Solution:
Q.No: 17
Test Name : CAT Actual Paper 2023 Slot 2

If p2 + q2 – 29 = 2pq – 20 = 52 – 2pq, then the difference between the maximum and minimum possible value of (p3 – q3) is

A
189
B
243
C
486
D
378
Solution:
Solution:


Solution:


Solution:


Solution:


Solution:
Taking a = b = c = d = 1, we get the minimum value as (1 + 1) (1 + 1) (1 + 1) (1 + 1) = 2 × 2 × 2 × 2 = 16.


Solution:


Solution:


Solution:


Solution:


Solution:


Solution:


Solution:


Solution:


Solution:


Solution:


Solution:


Solution:


© 2025 CL Educate Ltd. All rights reserved.