JIPMAT 2022 Question Paper With Detailed PDF Solutions

Get the complete JIPMAT 2022 paper with answers and explanations

Download JIPMAT Question Paper PDF

JIPMAT 2022 Paper With Answers & Explanation

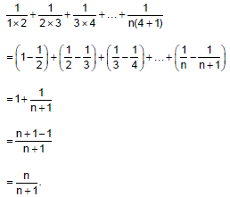
Quantitative Aptitude

Q. 1

Correct Answer

3

Explanation

Q. 2 If sin(α) and cos(α) are the roots of the equation ax2 + bx + c = 0, then b2 is

Correct Answer

3

Explanation

Q. 3

Correct Answer

3

Explanation

Q. 4

Correct Answer

2

Explanation

Let the salary of B be Rs. 300, then salary of A will be 300 + 100 = Rs. 400.
Percentage B earns less than A = (100/400) × 100 = 25%.

Q. 5

Correct Answer

1

Explanation

Q. 6

Correct Answer

2

Explanation

Q. 7 P, Q and R invested Rs. 25,000, Rs. 50,000 and Rs. 25,000 respectively to start a business. At the end of two years, they earned a profit of Rs. 48,000. What will be Q's share (in Rs.)?

Correct Answer

1

Explanation

The ratio in which P, Q, R invested = 25000 : 50000 :
25000 = 1 : 2 : 1
Q’s share = 48000 × 2/4 = Rs. 24,000.

Q. 8 The equation of the circle which passes through the point (4, 5) and its centre at (2, 2) is

Correct Answer

1

Explanation

Q. 9 A two digit number is 7 times the sum of its two digits. The number that is formed by reversing its digits is 18 less than original number. What is the number?

Correct Answer

2

Explanation

Let the two-digit number be ‘ab’, then
10a + b = 7(a + b)
10a + b = 7a + 7b
3a = 6b
a = 2b
In option (2), 42 – 18 = 24, which satisfies the criterion.

Q. 10 If LCM of two numbers is 12 times HCF and the sum of LCM and HCF is 403, if one number is 93, find the other number

Correct Answer

1

Explanation

Let two numbers be x and y, then
HCF × LCM = xy
LCM = 12 HCF
12 HCF2 = xy
LCM + HCF = 403
13 HCF = 403
HCF = 31
LCM = 372
So, if one number is 93, other number = (31 × 372)/93 = 124.

Q. 11 A sum becomes double in 10 years, then annual rate of simple interest is

Correct Answer

3

Explanation


Q. 12 How many litres of water should be added to a 30 litres mixture of milk and water containing milk and water in the ratio 7 : 3 such that the resultant mixture has 40% water in it

Correct Answer

1

Explanation


Q. 13 If a × b = 2a – 3b + ab, then 3 × 5 + 5 × 3 is equal to

Correct Answer

3

Explanation

Given: a × b = 2a – 3b + ab
3 × 5 + 5 × 3 = 2(3) – 3(5) + 3 × 5 + 2(5) – 3(3) + 5 × 3
= 6 – 15 + 15 + 10 – 9 + 15
= 6 + 16 = 22.

Q. 14 Two poles of height 6 m and 11 m stand vertically upright on a plane ground. If the distance between their foot is 12 m, then distance between their tops is

Correct Answer

3

Explanation

Q. 15 Which of the following is the value of m for which the polynomial x4 + 10x3 + 25x2 + 15x + m is exactly divisible by x + 7?

Correct Answer

1

Explanation

Q. 16 The father's age is six times his son's age. Four years hence, the age of the father will be four times his son's age. The present age (in years) of the son and the father are, respectively

Correct Answer

1

Explanation

Q. 17 If the mean of a, b and c is M; ab + bc + ca = 0; and the mean of a2, b2 and c2 is KM2, then K is equal to

Correct Answer

1

Explanation

Q. 18 Floor of a room is 15 m 17 cm long and 9 m 2 cm broad. What is the least number of square tiles required to pave the floor?

Correct Answer

3

Explanation

Q. 19 Three years ago, ratio of ages of Amisha and Namisha was 8 : 9. 3 years from now the ratio will become 11 : 12 . What is the present age of Amisha.

Correct Answer

3

Explanation

Q. 20

Correct Answer

2

Explanation

Q. 21

Correct Answer

4

Explanation

Q. 22 Two persons A and B starts from same point to travel from Chandigarh to Ambala. Distance between Chandigarh and Ambala is 60 km. Speed of A is 4 km/hr slower than B. B when reaches Ambala, starts back via same route without taking any rest and meets A who was still 12 km away from Ambala. Find speed of A.

Correct Answer

2

Explanation

Q. 23

Correct Answer

4

Explanation

Q. 24 The population of a village is 5000. If in a year, the number of males were to increase by 5% and that of females by 3% annually, the population would grow to 5202 at the end of the year. If M is the number of males and F is the number of females in the village, then (M, F) =

Correct Answer

3

Explanation

Q. 25

Correct Answer

3

Explanation

Q. 26

Correct Answer

1

Explanation

Q. 27

Correct Answer

4

Explanation

Q. 28

Correct Answer

4

Explanation

Q. 29

Correct Answer

2

Explanation

Q. 30 Given below are two statements based on the following:
A motor boat can travel 30 km upstream and 28 km downstream in 7 hours.
It can travel 21 km upstream and return in 5 hours.
Statement I : Speed of the boat in still water is 12 km per hour.
Statement II : Speed of the stream is 4 km per hour.

In the light of the above statements, choose the correct answer from the options given below :

Correct Answer

4

Explanation

Q. 31 The value of a flat worth 5,00,000 is depreciating at the rate of 10% p.a. In how many years, will the value be reduced to 364500.

Correct Answer

2

Explanation

Q. 32 The area of a circular play ground is 22176 cm2. What is the cost of fencing this ground at the rate of Rs. 50 per metre?

Correct Answer

1

Explanation

Q. 33

Correct Answer

4

Explanation

Data Interpretation and Logical Reasoning

Diretions for questions 34 to 36:
Following expenditure was incurred by a company
under different heads :

Q. 34 Which year saw the maximum increase in salary over the previous year ?

Correct Answer

1

Explanation

Q. 35 What is the approximate ratio between total tax paid and cost of components over all these years ?

Correct Answer

3

Explanation

Q. 36 Total expenditure in 2000 was what percentage of total expenditure in 2003

Correct Answer

2

Explanation

Directions for questions 37 to 40:
A teacher has partial data of the student result:

Q. 37 Half the students have grade A or B. The number of girls of Grade A and total (girls and boys) having grade A are-

Correct Answer

1

Explanation



The number of girls of grade A are 5 and total (girls and boys) having grade A are 10.

Q. 38 The number of girls who have grade B and number of girls who have grade C are -

Correct Answer

1

Explanation



The number of girls who have grade B are 5 and number of girls who have grade C are 30.

Q. 39 Number of boys who have grade B and Number of boys who have grade C are-

Correct Answer

1

Explanation



Number of boys who have grade B = 25
Number of boys who have grade C = 10

Q. 40 The number of girls, boys and total number of students is -

Correct Answer

2

Explanation



The number of girls = 40, boys = 40, total students = 80.

Q. 41 Three statements are given. Based on the three statements, four conclusions are given. Consider the three statements as True and decide which of the conclusions logically follow from the statements :
Statements:
All Sparrows are birds
All birds are mountains.
All mountains are skies.

Conclusions:
(I) All Sparrows are skies.
(II) All Skies are birds.
(III) All mountains are sparrows
(IV)All birds are skies

Correct Answer

3

Explanation

Q. 42 There is certain relationship between two given terms on one side of ( : : ) and one term is given on the other side of ( : : ). While another term is to be found from given alternates having the same relation with this term as the terms of given pairs
LCQJ : METN : : ABDF:?

Correct Answer

4

Explanation

Q. 43 Read the following information:
A and C are good in History and Biology
A is also good in Maths
B and D are good in Physics
A is also good in Chemistry
C and D are good in Chemistry

Who is /are good in four of these five subjects?

Correct Answer

3

Explanation

Q. 44 Sheela is wife of Arun. Deepak is brother of Sheela. Geeta and Mita are children of Sunita, who is wife of Deepak. How is Arun related to Mita ?

Correct Answer

3

Explanation

Q. 45 Various terms of an alphabet series are given with one or more terms missing as shown by (?) choose the missing term out of the given AGDLX, GDLXA, DLXAG, ?, XAGDL, AGDLX

Correct Answer

1

Explanation

Directions for questions 46 to 50: In a box, there are several balls. The pie-chart shows the percentage -wise distribution of 5 different colours of balls; and total number of balls = 1000. Also, the ratio of the light and dark shades of the six colors of balls is given :

Q. 46 What is the total percentage of orange, yellow and pink balls in the box ?

Correct Answer

2

Explanation

Q. 47 How many dark red balls are there in the box?

Correct Answer

2

Explanation

Q. 48 What is the ratio of dark pink balls to the dark green balls ?

Correct Answer

3

Explanation

Q. 49 What is the total number of green balls ?

Correct Answer

2

Explanation

Q. 50 What is the difference between number of light red balls and number of dark yellow balls?

Correct Answer

1

Explanation

Q. 51 Four friends Jaspreet, Rohit, Rihanna and Blessy like different sports. All of them are the active members of their clubs. One person can become a member of one club only. There are three clubs- Dance, Theatre and Eco club in the school.
Jaspreet who likes swimming is not a member of dance club. Rihanna is a member of dance club but does not like tennis. Rohit likes badminton but is not a member of theatre or dance club. Blessy is a member of Eco club and does not like swimming and badminton.

Who likes badminton and is a member if Eco club ?

Correct Answer

2

Explanation

Q. 52 Complete the series:
CEFH, IKLN, _____, UWXZ

Correct Answer

4

Explanation

Directions for questions 53 to 55: Study the following pie-chart and answer the following questions:

Percentage-wise participation of students in various activities

Q. 53 How many students participated in flowermaking activity?

Correct Answer

2

Explanation



10 students participate in flower making activity.

Q. 54 How many students participated is maskmaking and paper-quilling activity?

Correct Answer

1

Explanation



14 students participate in mask making and paper quilling activity.

Q. 55 How many students did not participate in toymaking activity?

Correct Answer

4

Explanation



28 students did not participate in toy making activity.

Q. 56 Based on the relationship between first two words on the left side of : : as given below, choose the correct word in place of ? to express similar relationship
Botany : Plants : : Entomology : ?

Correct Answer

4

Explanation

Entomology is the branch of zoology concerned with the study of insects.

Q. 57

Correct Answer

4

Explanation

5 – (13 – 4 + 2 ÷ 6 × 15 ÷ 5)
= 5 × (13 × 4 ÷ 2 – 6 + 15 – 5)
= 5 × (13 × 2 – 6 + 10)
= 5 × (30)
= 150

Q. 58 Pointing towards a person in a photograph Rani said, "He is the only son of the father of my sister's brother". How the person in the photograph related to Rani?

Correct Answer

4

Explanation

Q. 59

Correct Answer

1

Explanation

Q. 60 Consider an alphabetic series shown below as:
A, C, F, J
The nest two terms of the series are?

Correct Answer

2

Explanation

Q. 61 A man walks 3 kms towards east from his house. He then turns south and walks 4 km. Again he turns west and walks 6 km. How far is he from the starting point i.e. his house?

Correct Answer

3

Explanation

Q. 62

Correct Answer

3

Explanation

Q. 63

Correct Answer

2

Explanation

Q. 64 Which of the following diagrams indicate the best relation among deer, lion and animals?

Correct Answer

1

Explanation

Deer and lions both belong to the set of animals.

Q. 65 If 623 = 49
516 = 62 and
438 = 39
Then what is 583

Correct Answer

2

Explanation

Q. 66 Find the wrong term in the series given below: 1, 9, 33, 105, 158, ....

Correct Answer

1

Explanation

Verbal Ability & Reading Comprehension

Q. 67 Fill in the blank with the suitable form of verb No sooner did the chairman _____ than the directors put up their demand.

Correct Answer

3

Explanation

The correct verb form according to the tense will be ‘arrive’.

Q. 68

Correct Answer

2

Explanation

The sentence is in the past tense. Hence, it should be ‘entitled’.

Q. 69 Fill in the blank with a suitable word. Brevity is the soul _____ wit.

Correct Answer

3

Explanation

The correct preposition will be ‘of’.

Q. 70 A person belonging to the same period with another person is called _____

Correct Answer

3

Explanation

A contemporary refers to a person or thing living or existing at the same time as another.

Q. 71 Rearrange the following parts of a sentence in order to make a meaningful sentence
P for five years, I was sure
Q when I decided to go abroad
R that my grandmother would be upset
S and at her age one could never tell

Correct Answer

4

Explanation

The only phrase that can open the sequence is ‘when I decide to go abroad’ which is Q. This directly brings us to option 4 as the answer.

Q. 72 What figure(s) of speech are used in the given sentence?
My beloved is like a red red rose

Correct Answer

2

Explanation

The us of ‘like’ indicates a simile and ‘red red rose’ indicates alliteration.

Q. 73 Rearrange the following parts of a sentence in order to make a meaningful sentence
P responsible for anything
Q we would be held
R that went wrong
S we were told that

Correct Answer

3

Explanation

The correct sentence is ‘We were told that we would be held responsible for anything that went wrong’.

Q. 74 Pick out the correct sentence in indirect speech of the following sentence :
He said to me, "What are you doing?"

Correct Answer

3

Explanation

The correct conversion is ‘he asked me what I was doing’

Q. 75 Pick out the correctly spelt word :

Correct Answer

2

Explanation

The correct spelling is ‘occasional’.

Q. 76 Which of the following sentences is correct ?

Correct Answer

4

Explanation

‘Best’ is a superlative that does not need any other adjective or adverb.

Q. 77 Identify the word which means the same as 'sift'.

Correct Answer

1

Explanation

To sift is to examine (something) thoroughly so as to isolate that which is most important or useful.

Q. 78 Which of the following sentences is correct ?

Correct Answer

4

Explanation

‘Although’ means in spite of the fact that; even though.

Q. 79

Correct Answer

1

Explanation

We need the definite article ‘the’ here.

Q. 80 Fill in the blank with the most appropriate word.

When people are _____, as long as they hold fast to their language, it is as if they have the key to their prison.

Correct Answer

3

Explanation

The correct word is ‘enslaved’. It means to make someone a slave.

Q. 81 This question has a sentence with two blanks followed by four pair of words as choices from the choices, select the pair of words that can best complete the given sentence.
We are truly _____ to the many hands and hearts that made this book _____.

Correct Answer

3

Explanation

Obliged can work in the first blank, but plausible is incorrect in the second one. It means ‘likely to occur’. Thus, 3 is the correct choice.

Q. 82 Each question has a sentence with two blanks followed by four pairs of words as choices. From the choices, select the pair of words that can best complete the given sentence.

The doctor _____ special course of antibiotics on the patient to the disease.

Correct Answer

4

Explanation

The correct sequence is ‘administered’ and ‘combat’.

Q. 83 Find out an appropriate synonym for the word Ebullient:

Correct Answer

2

Explanation

Ebullient means cheerful and full of energy.

Q. 84 Fill in the blank with a suitable preposition. He broke _____ in the middle of his speech

Correct Answer

3

Explanation

Break down refers to (of a relationship, agreement, or process) cease to continue; collapse.

Q. 85 Pick out the correct sentence in passive voice of the following sentence:

Some boys were helping the wounded man.

Correct Answer

2

Explanation

The correct sentence is ‘The wounded man was being helped by some boys.’

Q. 86 Fill in the blanks with a suitable form of verb Neither of the players _____ adequately prepared for the tournament.

Correct Answer

2

Explanation

Neither is followed by the singular verb.

Q. 87 Pick out the correct sentence in passive voice of the following sentence :

We compelled the enemy to surrender

Correct Answer

4

Explanation

The correct sentence is ‘The enemy was compelled to surrender by us.’

Q. 88

Correct Answer

2

Explanation

The correct preposition is ‘off’.

Q. 89 Which of the following sentences is correct?

Correct Answer

3

Explanation

The correct sentence is ‘The coach ordered the player not to leave the camp.’

Q. 90 Fill in the blank with a suitable preposition.
I prefer reading a book _____ watching a movie.

Correct Answer

2

Explanation

One prefers something ‘over’ the other.

Q. 91 Fill in the blank with the most appropriate word.
All we have to fear is fear _____.

Correct Answer

3

Explanation

The correct pronoun is ‘itself’.

Directions for questions 92 to 95: Read the following passage carefully and answer the questions that follow.

Man's growth from barbarism into civilization is supposed to be the theme of history. But sometimes, looking at great stretches of history, it is difficult to believe that we are very much civilized or advanced. There is enough of want of co-operation today as we see one country or people selfishly exploiting another.

Man in many ways has not made very great progress from other animals.

Still, we look down upon the insects as almost the lowest of living things and yet the tiny bees and ants have learnt the art of co-operation and of sacrifice for the common good far better than man. If mutual co-operation and sacrifice for the good of society are the test of civilization, we may say that the bees and ants are superior to man. The old saying goes as follows: "For the family, sacrifice the individual, for the community, the family, for the country, the community, and for the soul, the whole world." It teaches us the lesson of co-operation and sacrifice for the larger good which we may have forgotten. How wonderful it is to see men and women, and boys and girls smilingly going ahead on the path of progress without caring any pain or suffering? Well, may they smile and be glad for the joy of serving a great cause which is theirs; and for those who are fortunate, comes the joy of sacrifice too.

Q. 92 What is the theme of above passage ?

Correct Answer

3

Explanation

The passage deals with the evolution of mankind’s morals especially those relating to the theme of sacrifice.

Q. 93 How can we be truly civilized ?

Correct Answer

4

Explanation

Refer the lines: “” It teaches us the lesson of cooperation and sacrifice for the larger good...”

Q. 94 What is the basic reason of exploitation of one man by another ?

Correct Answer

1

Explanation

Refer: “There is enough of want of co-operation today as we see one country or people selfishly exploiting another.”

Q. 95 Animals are superior to men because of their_____

Correct Answer

2

Explanation

Refer: “If mutual co-operation and sacrifice for the good of society are the test of civilization, we may say that the bees and ants are superior to man.”

Q. 96 Pick out the correct sentence from the following sentences

Correct Answer

4

Explanation

The correct sentence is ‘He didn’t like to attend the lecture.’

Q. 97 Pick out the correct sentence in indirect narration of the following sentence:
He said, "How wise I am?"

Correct Answer

2

Explanation

The correct sentence is ‘He exclaimed that he was very wise.’

Q. 98 Pick out the antonym of the word 'jocund'

Correct Answer

3

Explanation

Jocund means cheerful and light hearted.

Q. 99 Pick out the antonym of the word 'dissimulate'

Correct Answer

4

Explanation

Dissimulate means conceal or disguise (one’s thoughts, feelings, or character).

Q. 100

Correct Answer

4

Explanation

The given sentence is error free.