
Get the complete JIPMAT 2025 paper with answers and explanations
Download JIPMAT Question Paper PDF4

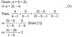
1

4

3

3

4

3

2

2

1

4

2

4

3

3

4

3

3

1

4

3

4

3

4

1

4

2

2

4

2

3

2

3

4
4
Option (4) is the correct answer.
4

4

3
The correct order is : Jungle, Timber, Pump, Paper, Book.
3

4

2
4 is opposite 3.
4
Rice is a Kharif crop and rest all are Rabi crops.
2

3
Sausage, Savage, Saviour, Savour.
3

3

3
The image contains 20 squares.
3
Option (3) is the correct answer.
4
Statements B and D are correct options.
3
Illusion
2

3
The correct match is :
A - III, B - IV, C - I, D - II.
3
The woman is the sister of the man in photograph.
2
5824 – 5242 = 582 (first 3 digits of first number)
Similarly, 4247 – 3823 = 424
So, ? = 5242 – 524 = 4718.
3

4
We have following couples:
Raj - Kusum, Prem - Vimla, Ved - Poonam and
Ashok - Sushma.
Hence, statements A, B and C are correct.
4
10 people are neither a dancer nor a musician but are businessmen and not Indians.
2

4
In 48 hours the clock gained 3 minutes.
In 16 hours it would have gained 1 min after being
1 minute slow.
Thus, at 5 a.m. on Wednesday, it shows the
correct time.
3

1

2

2

4

3

2

3
The word “colossal” refers to something extremely large or huge. The opposite or antonym of this would be something small or minute, which is “tiny.”
Incorrect options:
1. Epic: Refers to something grand or heroic, which does not directly oppose “colossal.”
2. Rust: This is unrelated to the concept of size.
3. Vast: This is actually a synonym of “colossal,” both implying large size.
3
The phrase “to take into” is grammatically correct because it fits the context of the sentence, indicating the action of considering or accounting for something.
Incorrect options:
1. to take in: This is a common phrasal verb but does not fit here as it implies physically taking something inside.
2. for taking into: This is incorrect because “for” should not precede “taking.”
4. by take into: This is grammatically incorrect and awkward.
1
The idiom “put my foot down” means to take a firm or resolute position on a matter, especially when enforcing rules or discipline.
Incorrect Options:
2. take a light stand: This is incorrect as “put my foot down” implies a firm stance, not a light one.
3. take a heavy stand: Although it implies seriousness, it is not the exact idiomatic meaning.
4. take a shaky stand: This contradicts the idiomatic meaning of being firm, as “shaky” implies uncertainty.
2
The correct spelling is “Lieutenant,” which refers to a military rank.
Incorrect Options:
1. Lieutinant: Incorrect spelling, mixing letters.
3. Leftinant: Incorrect, has a different arrangement of letters.
4. Leutenant: Incorrect, with a misplaced vowel.
2
The correct structure should be “despite the fact that” or “despite having received” or “despite he had received.” The use of “despite he” is grammatically incorrect.
Incorrect Options:
1. The patient died: This part is grammatically correct.
3. the best medical help: This part is correct.
4. from the hospital staff: This part is also correct.
1
The correct phrase should be in the present tense “who acquires” to maintain consistency in the sentence.
Incorrect Options:
2. which was acquiring: Incorrect because the relative pronoun should be “who,” not “which,” and the verb tense is wrong.
3. who acquire: The verb should be in the third person singular form “acquires.”
4. who has been acquired: This changes the meaning and implies someone else acquired the habit, which is not the intended message.
4
“Not to mince matters” means to speak directly and without evasion or subtlety.
Incorrect Options:
1. to be at ease: This does not convey the meaning of the idiom.
2. to not confuse others: This is incorrect because it focuses on confusion rather than directness.
3. to not interfere in others’ affairs: Not the meaning of this idiom.
4
“Strip off,” “strip away,” and “strip of” are all valid phrasal verbs, whereas “strip against” is not commonly used.
Incorrect Options:
1. strip of: Correct phrasal verb.
2. strip off: Correct phrasal verb.
3. strip away: Correct phrasal verb.
1
The article “a” is incorrect because “instrument” begins with a vowel sound. The correct article is “an,” making it “Education is an instrument.”
Incorrect Options:
2. which imparts knowledge and: This part is correct.
3. therefore indirectly controls power: This part is correct.
4. and narratives: This part is correct.
4
In the active voice, the subject (investment) is doing the action (making money).
Incorrect Options:
1. The investment has made a good deal of money: Incorrect tense.
2. The investment will be making a good deal of money: Incorrect structure for an active voice sentence.
3. The investment has been making a good deal of money: Incorrect tense.
2
“Entreaty” means a humble or earnest request, and the opposite would be “command,” which implies giving an order or directive.
Incorrect Options:
1. Immense: Unrelated to the concept of requests or commands.
3. Request: This is a synonym of “entreaty.”
4. Hatred: Unrelated to the concept of requesting or commanding.
3
“Initiation” refers to the beginning or start of projects, and “dependent” fits well in the second blank as it suggests that the success or feasibility of new projects relies on factors beyond just cost and profitability, specifically sustainability.
Incorrect Options:
1. planning, vulnerable: “Vulnerable” does not fit in this context, as it implies susceptibility, which doesn’t match the intended meaning.
2. occurrence, premised: “Premised” would not grammatically work in this context, as it implies something is based on a premise, which doesn’t fit well with “occurrence.”
4. starting, possible: “Possible” is too weak to fit the meaning of “dependent.”
4
A “Stoic” is someone who is indifferent to pain or pleasure, as derived from the philosophical school of thought that emphasizes endurance and emotional restraint.
Incorrect Options:
1. Eccentric: Refers to someone unconventional or odd, which doesn’t relate to indifference to pain or pleasure.
2. Philosopher: While a philosopher could be indifferent, this term is too broad.
3. Fatalist: A fatalist believes that events are predetermined, which is different from being indifferent to pain or pleasure.
3
The sentence expresses strong emotion or admiration, making the exclamation mark the correct choice.
Incorrect Options:
1. full stop: This would be inappropriate as it would not convey the excitement or admiration in the sentence.
2. question mark: This would suggest that the sentence is a question, which it is not.
4. colon: A colon would not be appropriate here, as it is used for explanations or lists.
4
“Callous” means showing a lack of sensitivity or empathy, which is synonymous with “insensitive.”
Incorrect Options:
1. Passive: “Passive” refers to a lack of action or energy, not emotional insensitivity.
2. Careless: “Careless” refers to negligence, which is not synonymous with being emotionally indifferent.
3. Cursed: “Cursed” means under a spell or damned, which has a very different meaning than “callous.”
1
The phrase “After knowing truth” is incorrect because “truth” should be preceded by the article “the.” The correct phrase is “After knowing the truth.”
Incorrect Options:
2. they took the right decision: This part is grammatically correct.
3. in the matter: This part is grammatically correct.
4. and punished the real culprits: This part is grammatically correct.
2
“Proscribe” means to prohibit or forbid, making “forbid” the correct synonym.
Incorrect Options:
1. Torture: This is unrelated to “proscribe,” which relates to banning or prohibiting, not inflicting pain.
3. Progressive: “Progressive” refers to forward- thinking, which is unrelated to “proscribe.”
4. Elemental: “Elemental” refers to basic components or fundamental, which does not relate to prohibition.
2
In indirect speech, the tense is usually changed, and the pronouns are adjusted. Here, “have” becomes “had,” and “this” becomes “that” in indirect speech.
Incorrect Options:
1. Pritha told me that they have to win that trophy: Incorrect because “they” is an incorrect pronoun.
3. Pritha told me that we have to win that trophy: The tense should be changed to the past, so it should be “had to.”
4. Pritha told me that they had to win that trophy: Incorrect because “they” is wrong here, and it should be “we.”
2
“Embezzlement” refers to the illegal misappropriation of funds, usually by someone in a position of trust.
Incorrect Options:
1. Robbery: “Robbery” refers to stealing, typically with force, which is different from embezzlement.
3. Theft: “Theft” is similar to robbery but doesn’t necessarily involve force, and it is not specific to embezzlement.
4. Fraud: “Fraud” involves deceit or trickery to gain something of value, but embezzlement is more specific to misappropriating funds.
3
“resit” refers to the act of taking an exam again, usually after failing the first attempt.
Incorrect Options:
1. to take rest: This is incorrect because “rest” does not relate to the context of exams.
2. to do creative work: Not relevant in the context of the word “resit.”
4. to do research on a topic: This is unrelated to the meaning of “resit.”
1
“The” is the appropriate definite article here because the passage refers to “Britain” specifically.
Incorrect Options:
2. in: “In Britain” would make the sentence awkward and unclear.
3. on: Incorrect preposition in this context.
4. with: This would change the meaning of the sentence, making it grammatically incorrect.
1
“Accepted” is the correct form to show that the Indian mind did not agree with the British tradition.
Incorrect Options:
2. accepting: This is the wrong verb form.
3. acceptable: This is an adjective, not suitable for the context.
4. acceptably: Incorrect adverb form.
4
“On behalf of” is the correct prepositional phrase, meaning representing or for someone.
Incorrect Options:
1. on behalf: This phrase is incomplete and lacks the correct structure.
2. behalf of: This phrase is incomplete and lacks the correct structure.
3. on the behalf of: This is incorrect, as the phrase should simply be “on behalf of.”
3
“Followed” is the past tense and fits here because it refers to the pattern or action of the Indian Bill of Rights drawing inspiration from the US Constitution.
Incorrect Options:
1. follow: This is present tense, which is incorrect in this context.
2. follows: Incorrect, as it does not fit with the past tense used in the rest of the sentence.
4. following : This would not work grammatically in this context.
3
“Largely” is an adverb that fits grammatically and contextually, meaning that the Indian Bill of Rights was mainly influenced by the U.S. Constitution, with some differences.
Incorrect Options:
1. large: Incorrect as it is an adjective, and an adverb is needed.
2. largest: This is a superlative form and doesn’t fit in the context.
4. largly: This is a misspelling of “largely.”
1
• Sentence B introduces the general attitude of people in India toward religious and social changes.
• Sentence C gives an example of a reformer, Swami Dayanand Saraswati, leading into the specific example from sentence A.
• Sentence D gives context on the open- mindedness in India, and sentence A concludes by discussing the reverence for Dayanand.
Incorrect Options:
2. A, C, D, B: This order does not logically follow the progression of the ideas about India’s respect for reformers.
3. C, D, A, B: This order disrupts the logical flow, especially in transitioning between general ideas and specific examples.
4. D, B, C, A: This sequence is not logical since it places the example before the introduction.
1
• C introduces the role of NGOs in bridging the gap between India’s middle class and lower classes.
• D elaborates on the promise of this trend.
• A discusses the influence from Western societies.
• B explains the emphasis on political democracy rooted in civil society.
• E concludes with the potential of such NGOs to bring about a new kind of democracy in India.
Incorrect Options:
2. A, E, B, D, C: The order disrupts the logical flow of the progression from introduction to conclusion.
3. B, D, E, A, C: The sentence order is inconsistent and jumbled, making it hard to form a coherent paragraph.
4. E, B, A, D, C: Incorrect due to placement issues and the awkward introduction.
1
• B starts by introducing “affirmative action” as a policy.
• C explains the policy’s purpose to address past discrimination.
• A clarifies the type of treatment targeted by the policy.
• D completes the sentence by defining the scope of the policy.
Incorrect Options:
2. D, B, A, C: Incorrect sequence, as the subject (“affirmative action”) is introduced too late.
3. C, D, A, B: The sentence would be grammatically incorrect in this order.
4. D, C, B, A: The sequence is out of order, failing to maintain logical progression.
3
A. The writer criticizes vanity publications, which add no new ideas.
B. The writer recognizes the value of genuine writers but critiques the overwhelming number of publications lacking originality.
D. The writer sees the potential usefulness of compilations if done properly.
Incorrect Options:
C. The writer does not outrightly reject compilation works, but acknowledges their limited value.
4
B. The passage critiques the current state of publications and their lack of substance.
C. The writer uses contrast and comparison to elaborate the point about the prevalence of compilations.
D. The passage is in the present tense, with occasional passive constructions, making it easy to follow.
Incorrect options:
A. The passage does not present a robust view of the publishing industry but rather a critical one.
2
B. “Plagiarism” refers to copying others’ work, which the passage critiques.
C. “Duplication” is closely related to the act of copying and lacks originality, as discussed in the passage.
Incorrect Options:
A. Copyright laws are not discussed.
D. “Innovation” contradicts the point of the passage about the lack of new ideas.
3
A. Be at cross purpose means not understanding each other.
B. Wheels within wheels refers to secret things or complex schemes.
C. Wild goose chase means a foolish effort.
D. Off the cuff means without any preparation.
Incorrect Options:
The other options do not match the phrases with their correct meanings.
3
A. The team had won the match is past perfect tense.
B. The team won the match is simple past tense.
C. The team had been winning the match
is past perfect continuous tense.
D. The team was winning the match is past continuous tense.
Incorrect Options:
The other options do not correctly pair the tenses.
2
A. Alias means second name.
B. De jure means as a matter of legal rights.
C. In lieu of means in place of something.
D. Pro rata means in proportion.
Incorrect Options:
The other options mix up the terms and their correct meanings.